Open Access

Fig. 3

image

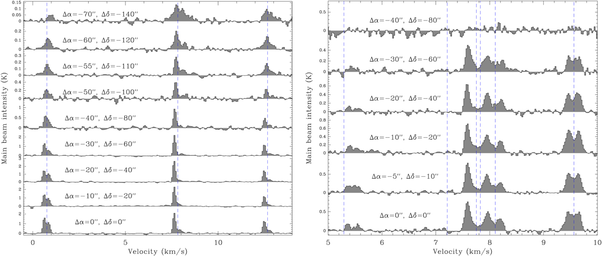
HCN J = 1 → 0 (left) and J = 3 → 2 (right) spectra at several positions toward L1498 (RA-Dec offsets from the continuum peak position (α = 4:10:52.2, δ = 25:10:20, J2000) are in seconds of arc). The systemic velocity for each of the hyperfine components is indicated (dashed blue lines).

Current usage metrics show cumulative count of Article Views (full-text article views including HTML views, PDF and ePub downloads, according to the available data) and Abstracts Views on Vision4Press platform.

Data correspond to usage on the plateform after 2015. The current usage metrics is available 48-96 hours after online publication and is updated daily on week days.

Initial download of the metrics may take a while.