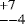
Table 5
Isotopic ratios in carbon and nitrogen obtained in prestellar cores are compared to model predictions.
| Ratio | Source | Observed | Models§ | Comments | |||
|---|---|---|---|---|---|---|---|
| value† | (1) | (2) | (3) | (4) | |||
| HCN/H13CN | L1498 | 45 ± 3 | – | – | – | 114–168 | This work |
| B1 | 30 |
(5) | |||||
| HCN/HC15N | L1544 | 140–360‡ | 254 | 37–195 | 202 | 334–340 | (6) |
| L183 | 140–250‡ | (6) | |||||
| L1498 | 338 ± 28 | This work | |||||
| B1 | 165 |
(5) | |||||
| H13CN/HC15N | L1544 | 2.0–4.5 | – | – | – | 1.9–3.0 | (6) |
| L183 | 2.0–3.7 | (6) | |||||
| L1498 | 7.5 ± 0.8 | This work | |||||
| B1 | 5.5 ± 0.8 | (5) | |||||
| CN/13C N | B1 | 50 |
– | – | – | 63 – 84 | (5) |
| CN/C15N | L1544 | 510 ± 70‡ | 252 | – | 409 | 334–337 | (3) |
| L1498 | 476 ± 70‡ | (3) | |||||
| B1 | 240 |
(5) | |||||
| 13C N/C15N | L1544 | 7.5 ± 1.0 | – | – | – | 4.0–5.3 | (3) |
| L1498 | 7.0 ± 1.0 | (3) | |||||
| B1 | 4.8 ± 3.3 | (5) | |||||
| HNC/HN13C | B1 | 20 |
– | – | – | 121–180 | (5) |
| HNC/H15N C | B1 | 75 |
237 | – | – | 332–335 | (5) |
| HN13C/H15N C | B1 | 3.8 ± 1.6 | – | – | – | 1.3–2.8 | (5) |
Notes. (§) Steady-state isotopic ratios from the following models: (1) Terzieva & Herbst (2000), (2) Wirström et al. (2012), (3) Hily-Blant et al. (2013b), and (4) Roueff et al. (2015). The nitrogen isotopic ratios have been rescaled according to the elemental value of the local ISM, 14N∕15N = 330 ± 30. (†) Observed values from (3) Hily-Blant et al. (2013b), (5) Daniel et al. (2013), (6) Hily-Blant et al. (2013a), and this work. (‡) Values computed assuming 12C/13C = 68.
Current usage metrics show cumulative count of Article Views (full-text article views including HTML views, PDF and ePub downloads, according to the available data) and Abstracts Views on Vision4Press platform.
Data correspond to usage on the plateform after 2015. The current usage metrics is available 48-96 hours after online publication and is updated daily on week days.
Initial download of the metrics may take a while.