Free Access

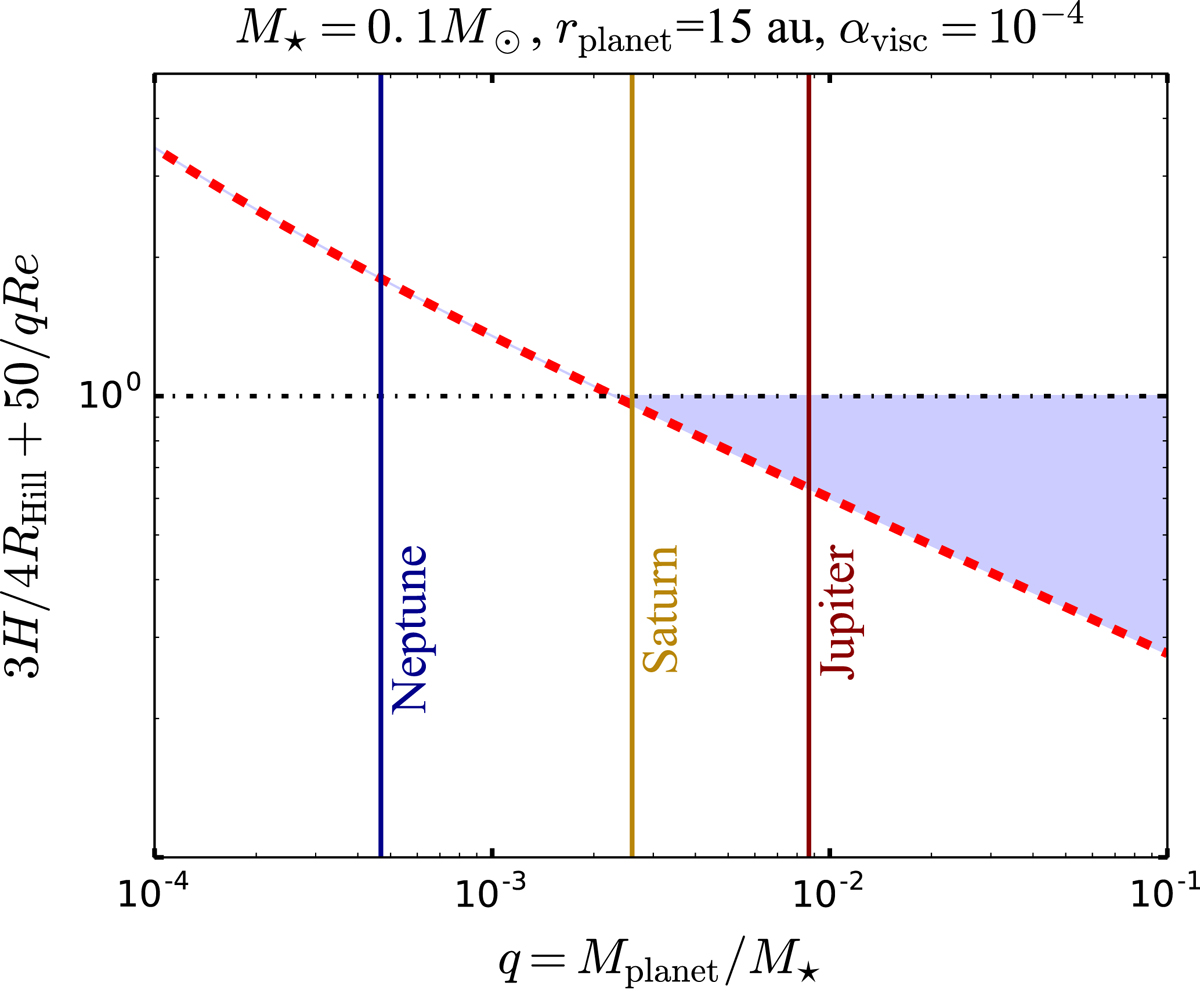
Fig. 6.

image

Criterion to open a gap in the gas surface density (Crida et al. 2006) assuming the disk parameters for CIDA 1. When the criterion (in the y-axes) is lower than unity, a planet of such mass can open a gap in the gas surface density of the disk, generating particle trapping and an empty dust cavity.

Current usage metrics show cumulative count of Article Views (full-text article views including HTML views, PDF and ePub downloads, according to the available data) and Abstracts Views on Vision4Press platform.

Data correspond to usage on the plateform after 2015. The current usage metrics is available 48-96 hours after online publication and is updated daily on week days.

Initial download of the metrics may take a while.