Open Access

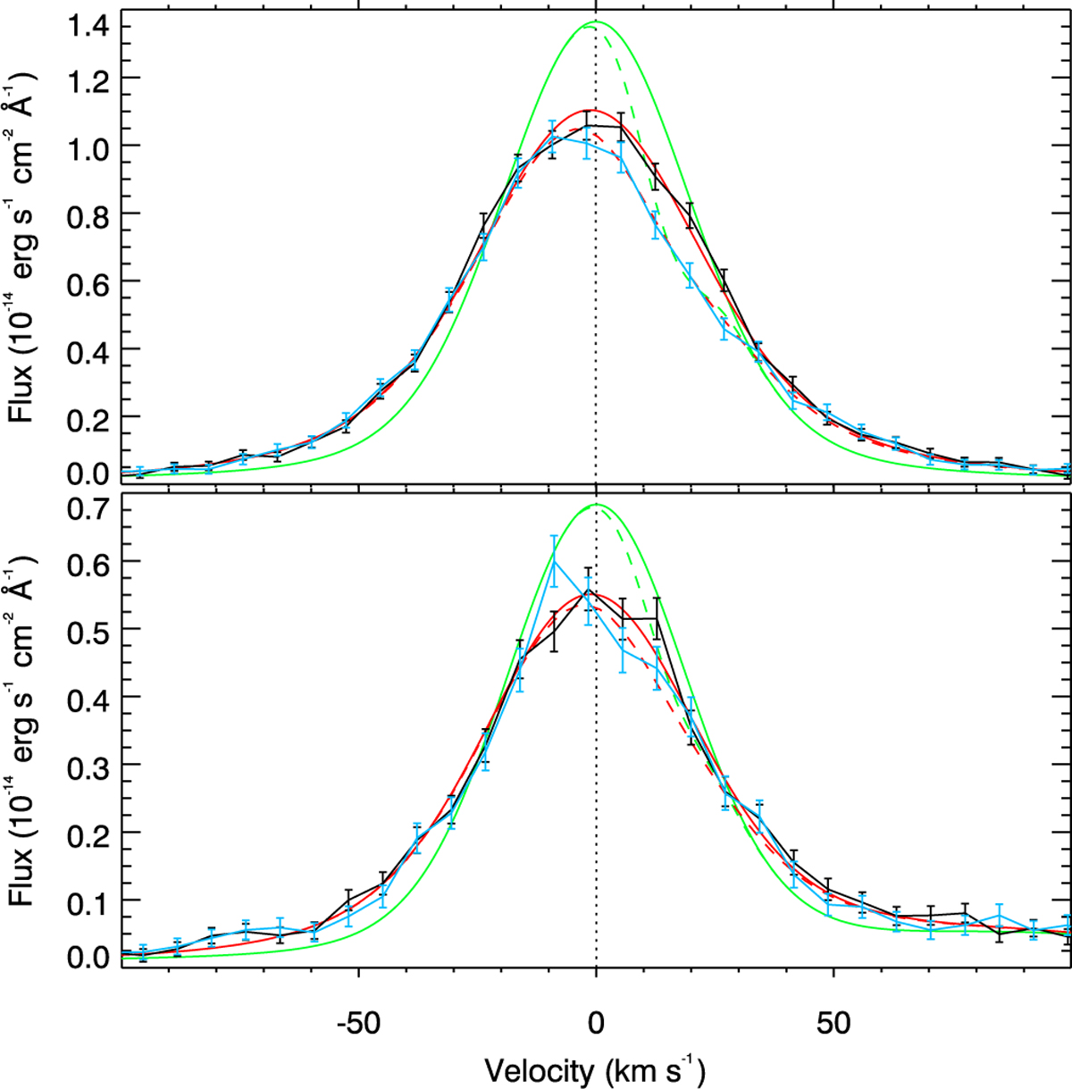
Fig. 12

image

N V doublet averaged over all visits, as a function of velocity relative to the line centers (vertical dotted lines). The upper panel shows the N V λ1238.8 line. The lower panel shows the N V λ1242.8 line. Compared to the quiescent spectra (black), the absorbed spectra blue) show a signature consistent with absorption from an optically thin cloud of ionized nitrogen gas. The green (before convolution) and red (after convolution) profiles correspond to a best-fit model for the intrinsic stellar line (solid line) and the occulting cloud (dashed line). The fit accounts for a weak stellar N I line at 1243.18 Å (90.5 km s−1 in the lower panel).

Current usage metrics show cumulative count of Article Views (full-text article views including HTML views, PDF and ePub downloads, according to the available data) and Abstracts Views on Vision4Press platform.

Data correspond to usage on the plateform after 2015. The current usage metrics is available 48-96 hours after online publication and is updated daily on week days.

Initial download of the metrics may take a while.