Free Access

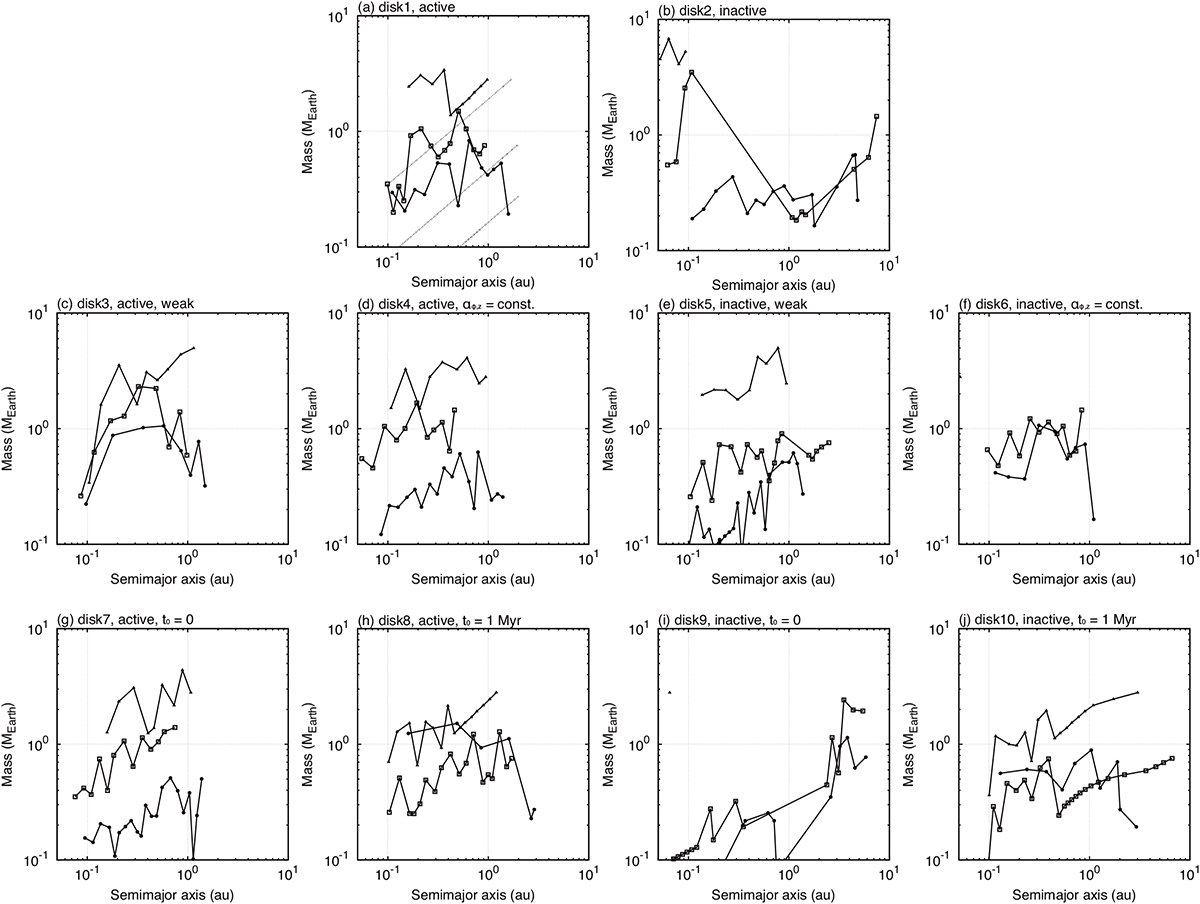
Fig. A.2

image

Final orbital configurations of simulations for disk1–disk10 models. Filled circles, open squares, and filled triangles represent results for Σ0 = 15, Σ0 = 30, and Σ0 = 75, respectively. Initial embryo distributions are also shown in panel a by gray symbols.

Current usage metrics show cumulative count of Article Views (full-text article views including HTML views, PDF and ePub downloads, according to the available data) and Abstracts Views on Vision4Press platform.

Data correspond to usage on the plateform after 2015. The current usage metrics is available 48-96 hours after online publication and is updated daily on week days.

Initial download of the metrics may take a while.