Free Access

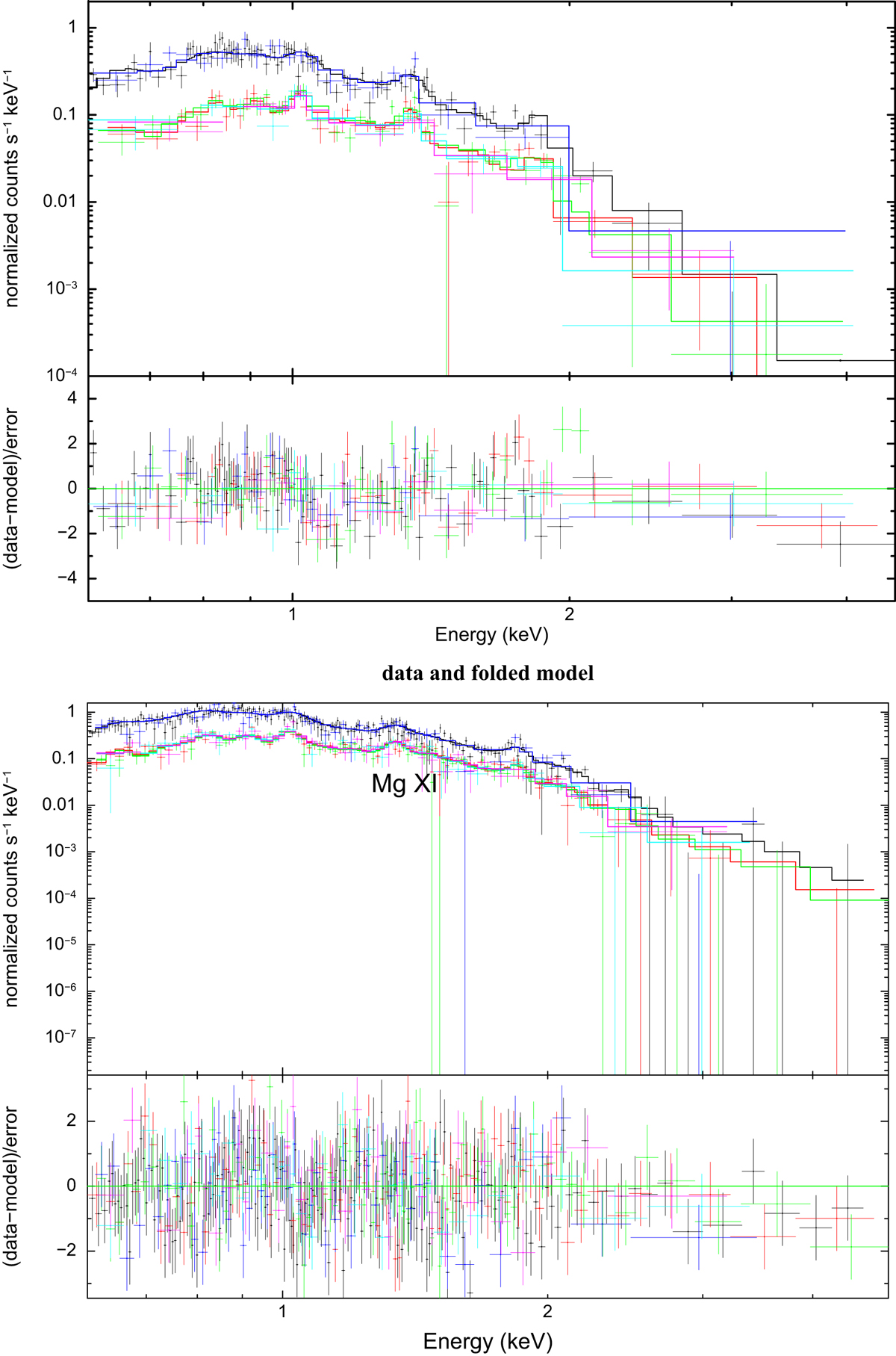
Fig. 4.

image

Upper panel: EPIC spectra of the OverJet region obtained simultaneously fitting spectra from six cameras with a VAPEC model (best fit parameters can be found in Table 2). Lower panel: same as is the upper one but for the Jet region described with a VAPEC + VRNEI model (best fit parameters can be found in Table 3).

Current usage metrics show cumulative count of Article Views (full-text article views including HTML views, PDF and ePub downloads, according to the available data) and Abstracts Views on Vision4Press platform.

Data correspond to usage on the plateform after 2015. The current usage metrics is available 48-96 hours after online publication and is updated daily on week days.

Initial download of the metrics may take a while.