Free Access

Fig. 2

image

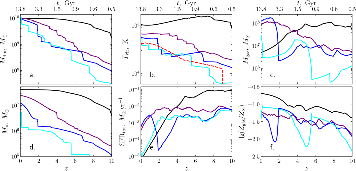
Dependence on redshift of the dark matter halo virial mass (a), the virial temperature (b), the gas mass (c), the stellar mass (d), the SFR (e), and the gas metallicity (f) for four halos with different mass assembly histories and nearly the same final halo mass (within 10%). The red dashed line in panel b shows Teqvir∕3), the virial temperature below which smooth accretion of baryons is shut off.

Current usage metrics show cumulative count of Article Views (full-text article views including HTML views, PDF and ePub downloads, according to the available data) and Abstracts Views on Vision4Press platform.

Data correspond to usage on the plateform after 2015. The current usage metrics is available 48-96 hours after online publication and is updated daily on week days.

Initial download of the metrics may take a while.