Free Access

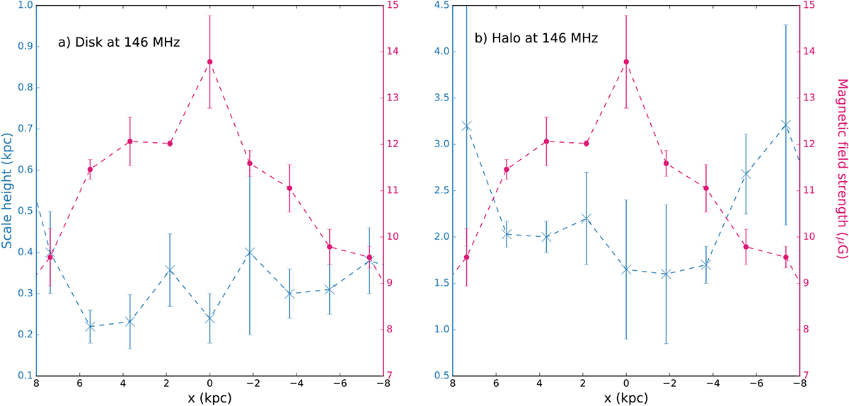
Fig. 16

image

Scale heights in kpc (dark blue) at 146 MHz and magnetic field strengths in μG (red) at different distances x from the galaxy’s centre along the major axis (in kpc). x > 0 corresponds to the north-eastern side of the galaxy and x < 0 to the south-western side. The disk scale heights are shown in the left panel, the halo scale heights in the right panel. The magnetic field strengths are measured from the 1.5 GHz data on the galaxy’s major axis and are identical in all four panels.

Current usage metrics show cumulative count of Article Views (full-text article views including HTML views, PDF and ePub downloads, according to the available data) and Abstracts Views on Vision4Press platform.

Data correspond to usage on the plateform after 2015. The current usage metrics is available 48-96 hours after online publication and is updated daily on week days.

Initial download of the metrics may take a while.