Highlight
Free Access

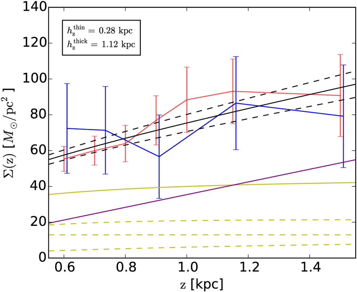
Fig. 10

image

Surface mass density as implied from the axisymmetric Jeans equation, derived for the thin (red) and thick (blue) disk samples. In this example the scale height for the thin disk tracer stars (red) is set to 0.28 kpc, the scale height for the thick disk tracer stars (blue) to 1.12 kpc. This combination of parameters gives the lowest χ2 value (see Fig. 8) when fitting our mass model (black), which is the sum of the baryonic (solid yellow) components (thin, ISM, and thick disks from top to bottom in dashed yellow) and the dark matter component (purple).

Current usage metrics show cumulative count of Article Views (full-text article views including HTML views, PDF and ePub downloads, according to the available data) and Abstracts Views on Vision4Press platform.

Data correspond to usage on the plateform after 2015. The current usage metrics is available 48-96 hours after online publication and is updated daily on week days.

Initial download of the metrics may take a while.