Free Access

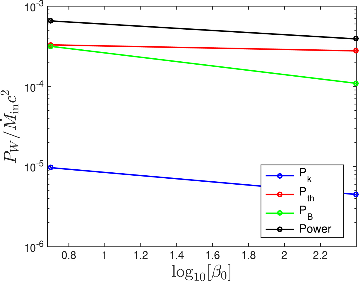
Fig. 4.

image

Power carried by wind in units of inc2. The red and blue lines correspond to thermal and kinetic powers carried by wind, respectively. The green line shows Poynting flux. The black line shows the total power

Current usage metrics show cumulative count of Article Views (full-text article views including HTML views, PDF and ePub downloads, according to the available data) and Abstracts Views on Vision4Press platform.

Data correspond to usage on the plateform after 2015. The current usage metrics is available 48-96 hours after online publication and is updated daily on week days.

Initial download of the metrics may take a while.