Free Access

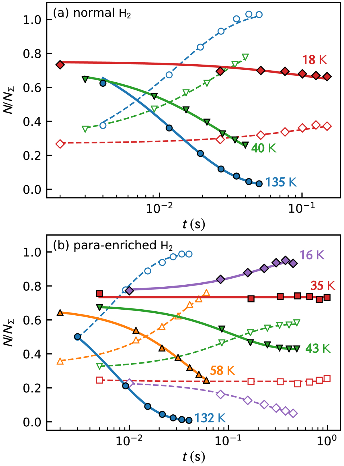
Fig. 2.

image

Time dependencies of the normalized numbers of OD (filled symbols) and OH (open symbols), measured with nH2 (panel a) and eH2 (panel b). The collisional temperatures are indicated in the figure, and the densities of nH2, eH2, He, and D2 are listed in Table 1.

Current usage metrics show cumulative count of Article Views (full-text article views including HTML views, PDF and ePub downloads, according to the available data) and Abstracts Views on Vision4Press platform.

Data correspond to usage on the plateform after 2015. The current usage metrics is available 48-96 hours after online publication and is updated daily on week days.

Initial download of the metrics may take a while.