Free Access

Fig. 1

image

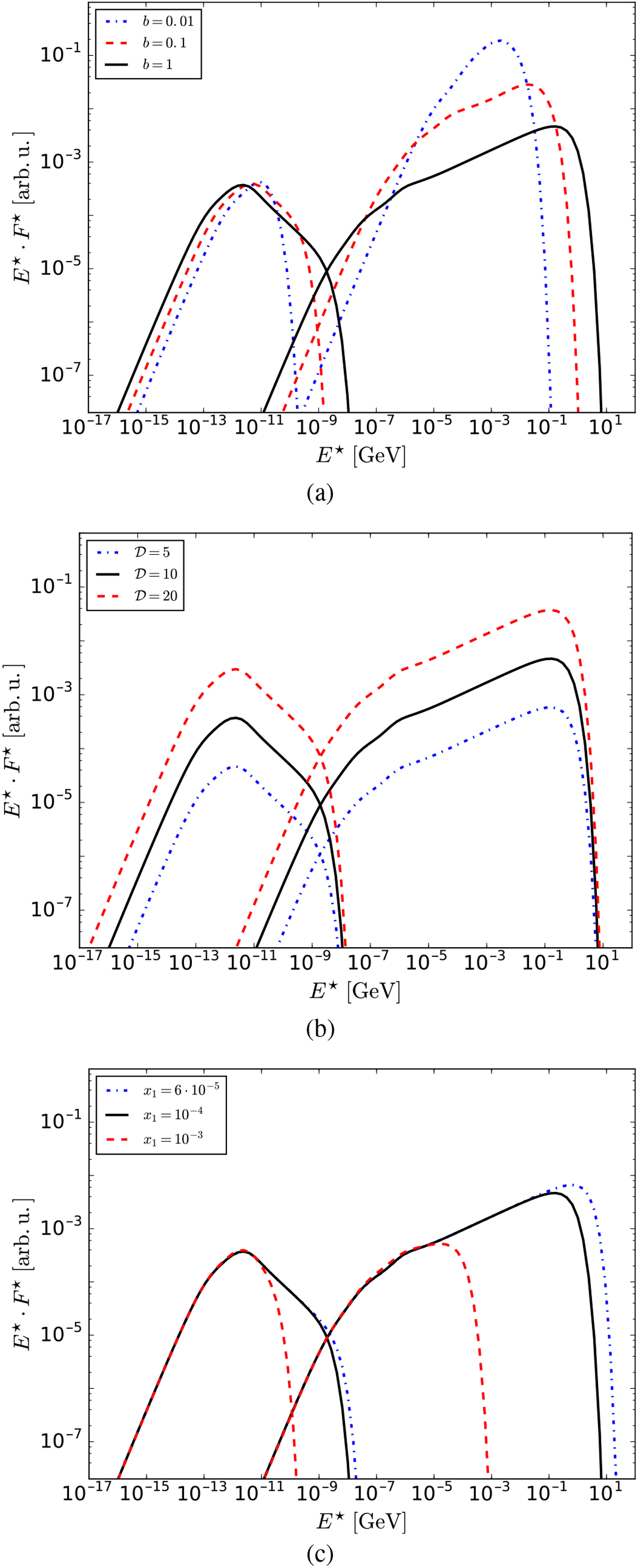
Total synchrotron (left curves) and SSC (right curves) fluence SEDs for generic three-injection scenarios with magnetic field strengths, Doppler boost factors, and reciprocal initial electron energies b ∈ {0.01, 0.1, 1}, , and for panel a, b= 1, , and for panel b, as well as b = 1, , x1 ∈ {0.6 × 10−4, 10−4, 10−3}, and for panel c. The injection times are always given by with the characteristic radius of the plasmoid , the injection strengths by , and the cooling rate prefactors D0 = 1.3 × 10−9 b2 s−1, A0 = 1.2 × 10−18 b2 cm3 s−1 depend on the specific value of the magnetic field strength. The number of grid points used in the plotting of each curve amounts to 4 × 105.

Current usage metrics show cumulative count of Article Views (full-text article views including HTML views, PDF and ePub downloads, according to the available data) and Abstracts Views on Vision4Press platform.

Data correspond to usage on the plateform after 2015. The current usage metrics is available 48-96 hours after online publication and is updated daily on week days.

Initial download of the metrics may take a while.