Free Access

Fig. 2.

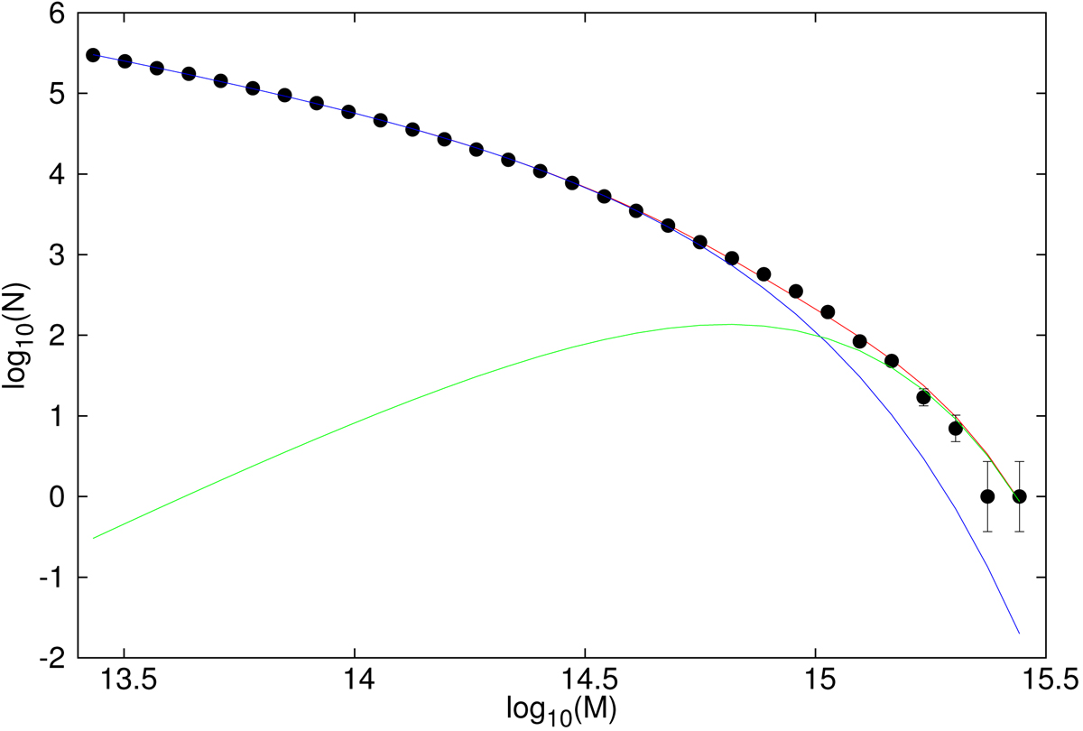
image

Abundance of haloes with M ≥ 2.5 × 1013 M. The analytic Schechter-like function fits, NAF(M), are represented by continuous curves. The single power-law Schechter function is shown in blue, the double power-law function in red, and in green we separately show the second power-law fit.

Current usage metrics show cumulative count of Article Views (full-text article views including HTML views, PDF and ePub downloads, according to the available data) and Abstracts Views on Vision4Press platform.

Data correspond to usage on the plateform after 2015. The current usage metrics is available 48-96 hours after online publication and is updated daily on week days.

Initial download of the metrics may take a while.