Free Access

Fig. 4.

image

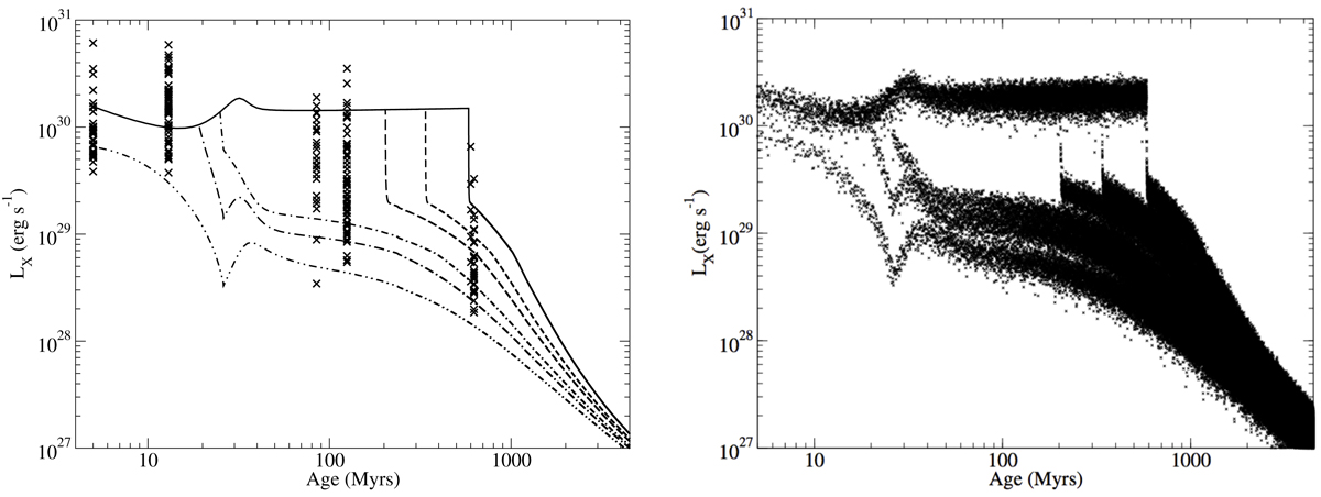
Left: simulated evolutions of the average X-ray luminosity of 1.0 M main-sequence stars. The Different curves correspond to initial rotation periods of 1,2, 3, 6, 10, and 20 days at an age of 5 Myr. The curve symbols areidentical to those used in the corresponding angular velocity curves of Fig. 2. The simulations of the X-ray activity evolution are compared with X-ray luminosity measurements of 0.8–1.2 M stars in NGC2362 (5 Myr), h Per (13 Myr), α Per (85 Myr), the Pleiades (125 Myr), Praesepe (600 Myr), and the Hyades (625 Myr). Right: simulated evolutions of the X-ray luminosities including their estimated dispersion around average values derived from stellar rotation due to the short-term variability of the magnetic activity.

Current usage metrics show cumulative count of Article Views (full-text article views including HTML views, PDF and ePub downloads, according to the available data) and Abstracts Views on Vision4Press platform.

Data correspond to usage on the plateform after 2015. The current usage metrics is available 48-96 hours after online publication and is updated daily on week days.

Initial download of the metrics may take a while.