Free Access

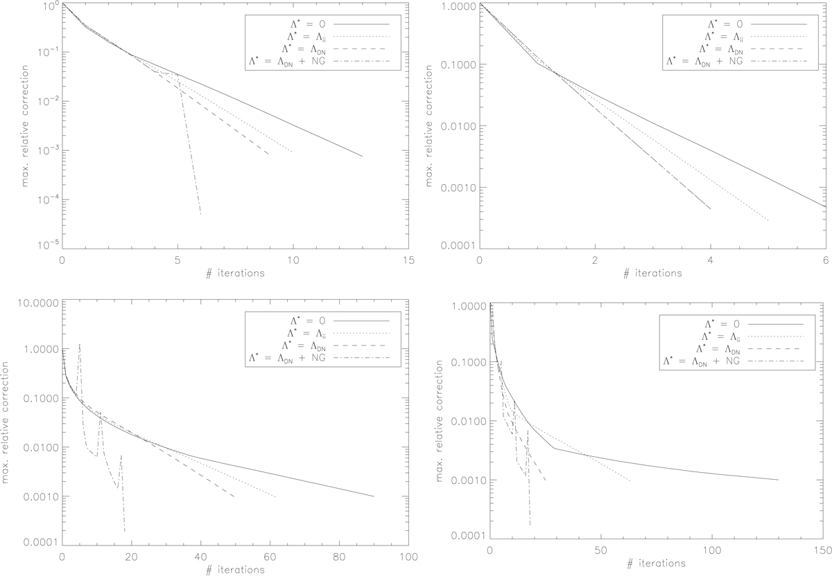
Fig. 1.

image

Convergence behaviour of the continuum transfer with ϵc = 10−6 (left), and of the line transfer with ϵL = 10−6 (right), for different acceleration techniques applied to the RT, and for a spherical model atmosphere. The optical depth scale varies according to kc = 10, kL = 10 (top) and kc = 100, kL = 105 (bottom). See text.

Current usage metrics show cumulative count of Article Views (full-text article views including HTML views, PDF and ePub downloads, according to the available data) and Abstracts Views on Vision4Press platform.

Data correspond to usage on the plateform after 2015. The current usage metrics is available 48-96 hours after online publication and is updated daily on week days.

Initial download of the metrics may take a while.