Free Access

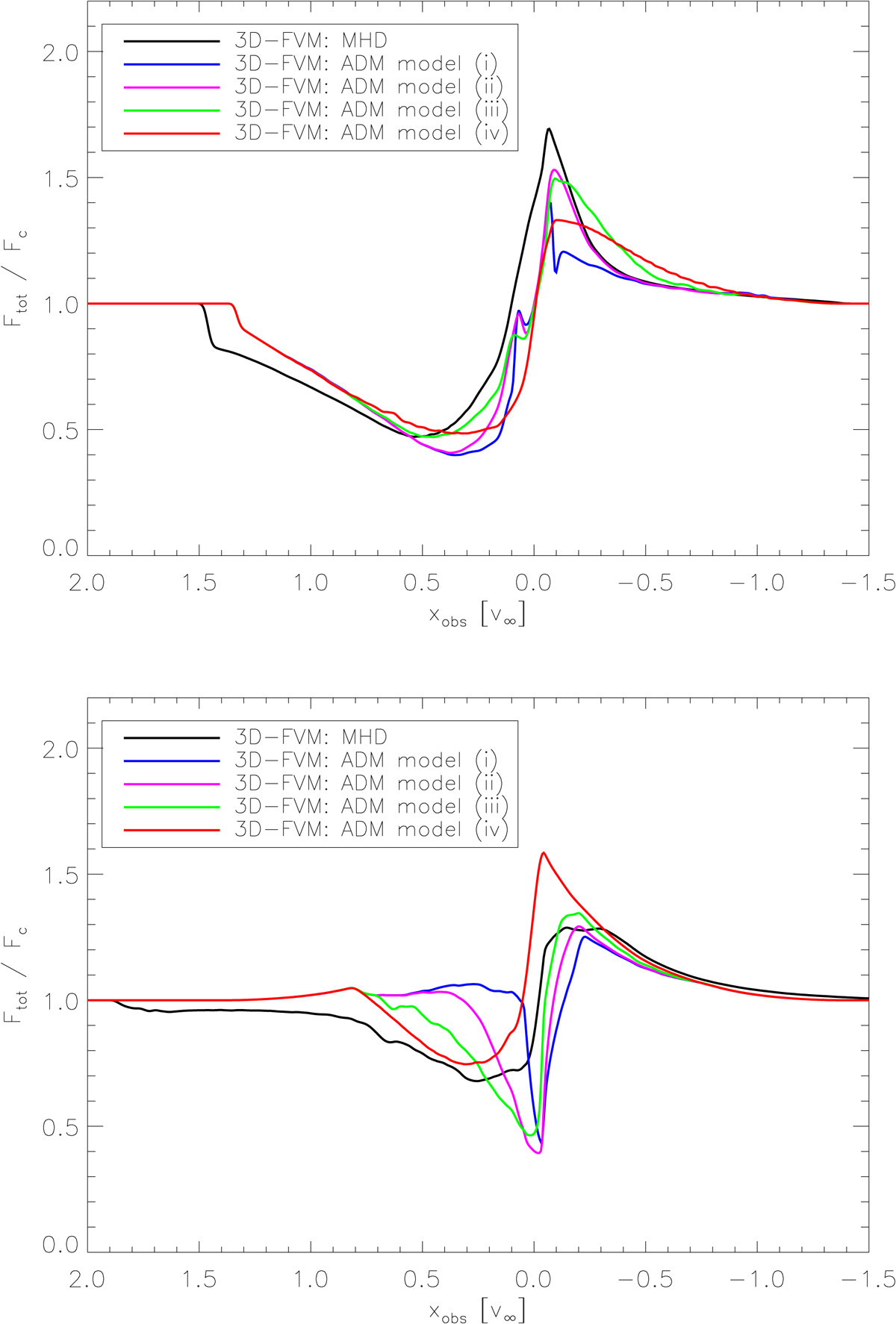
Fig. 11.

image

UV resonance-line profiles obtained from our 3D code, for the MHD simulation (black, as Fig. 10), and the different ADM models, (i)–(iv) (see text). The line-strength parameter has been set to κ0 = 1. The upper and lower panels show the synthetic profiles for pole-on and equator-on view, respectively. As in Fig. 10, the abscissa has been scaled to v = 2700 km s−1, the “observed” 1D value applied by Marcolino et al. (2013).

Current usage metrics show cumulative count of Article Views (full-text article views including HTML views, PDF and ePub downloads, according to the available data) and Abstracts Views on Vision4Press platform.

Data correspond to usage on the plateform after 2015. The current usage metrics is available 48-96 hours after online publication and is updated daily on week days.

Initial download of the metrics may take a while.