Free Access

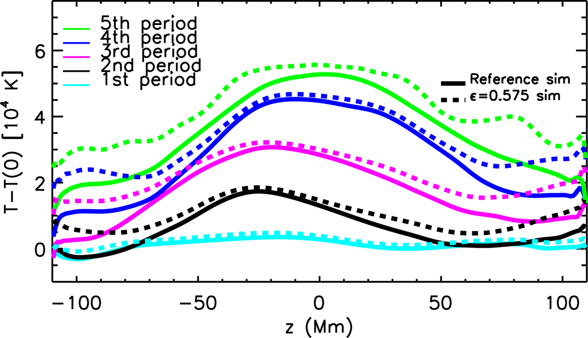
Fig. 16.

image

Temperature change with respect to the initial value as a function of z averaged over one period oscillation for subsequent oscillations identified with various colours. Continuous line for simulation with = 1.15 and dashed line for simulation with = 0.575.

Current usage metrics show cumulative count of Article Views (full-text article views including HTML views, PDF and ePub downloads, according to the available data) and Abstracts Views on Vision4Press platform.

Data correspond to usage on the plateform after 2015. The current usage metrics is available 48-96 hours after online publication and is updated daily on week days.

Initial download of the metrics may take a while.