Free Access

This article has an erratum: [https://doi.org/10.1051/0004-6361/201732276e]


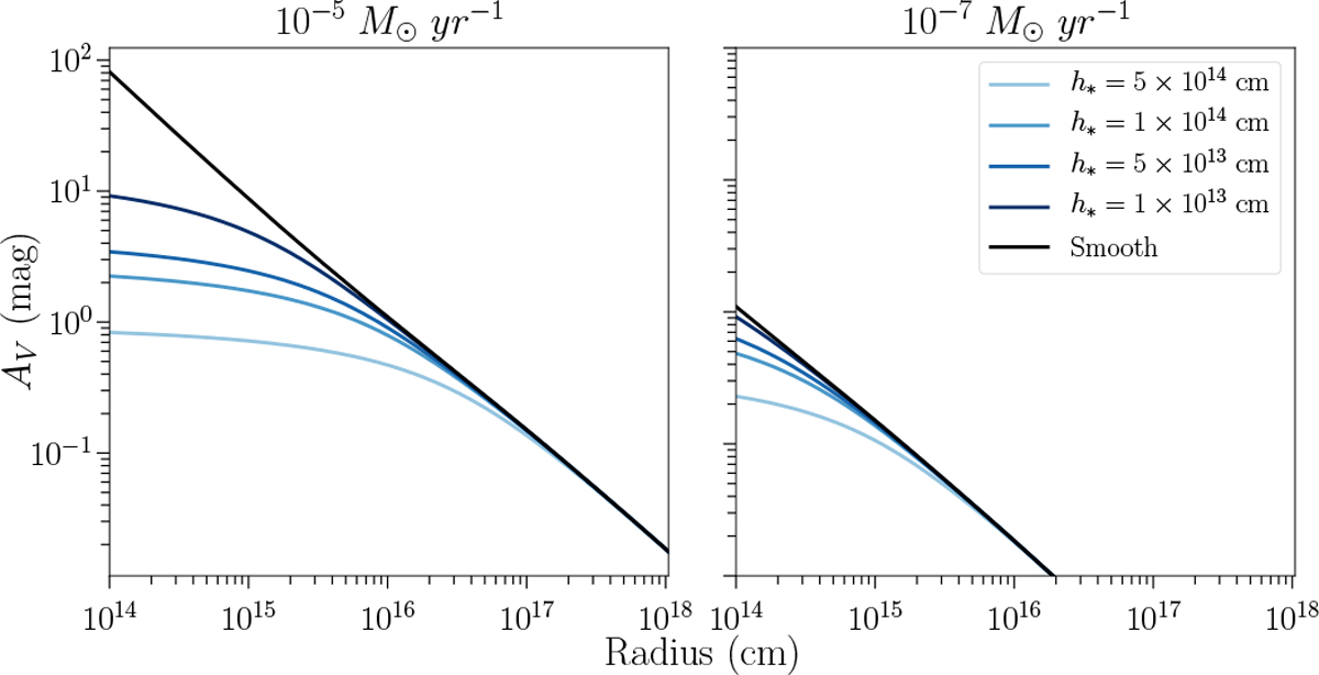
Fig. 1

image

Visualextinction AV throughout a one-component outflow with = 10−5 M yr−1 (left panel) and = 10−7 M yr−1 (right panel). Results for a smooth, uniform outflow are shown in black. Results for different values of h* are shown in blue. For reference, 1 R* = 5 × 1013 cm. Figure B.1 shows the corresponding decrease in interstellar UV radiation field.

Current usage metrics show cumulative count of Article Views (full-text article views including HTML views, PDF and ePub downloads, according to the available data) and Abstracts Views on Vision4Press platform.

Data correspond to usage on the plateform after 2015. The current usage metrics is available 48-96 hours after online publication and is updated daily on week days.

Initial download of the metrics may take a while.