Table A.1
Spectral fit results.
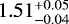
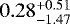
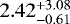
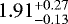
| Source | Obs. ID | Model | NH(z) | Γlow | Γ | Eb | a | b | C1 | C2 | F-test/model | ||
|---|---|---|---|---|---|---|---|---|---|---|---|---|---|
| (1020 cm−2) | (1022 cm−2) | (keV) | (@1–5 keV) | ||||||||||
| 7C 1428+4218 | Obs2003 | PL | 1.22 | … | … | 1.59 ± 0.02 | … | … | … | 1.03 | 1.10 | 1.21∕503 | |
| Obs2005 | … | … | 1.42 ± 0.02 | … | … | … | 1.05 | 1.01 | |||||
| Obs2003 | BKN | 1.22 | … | 1.70 ± 0.03 | 0.59 ± 0.10 | … | … | 1.01 | 1.07 | 0.94∕499 | 10−29/PL | ||
| Obs2005 | … | 1.49 ± 0.03 | … | … | 1.03 | 0.99 | |||||||
| Obs2003 | LGP | 1.22 | … | … | … | … | 1.52 ± 0.03 | 0.28 ± 0.06 | 1.01 | 1.07 | 1.05∕501 | 10−17/PL | |
| Obs2005 | … | … | … | … | 1.36 ± 0.03 | 0.17 ± 0.06 | 1.03 | 0.99 | |||||
| Obs2003 | PL+EX* | … | 1.72 ± 0.03 | … | … | … | 1.00 | 1.07 | 0.94∕501 | ||||
| Obs2005 | … | 1.53 ± 0.03 | … | … | … | 1.03 | 0.99 | ||||||
| Obs2003 | LGP+EX | … | … | … | 1.76 ± 0.06 | 1.00 | 1.07 | 0.93∕499 | 0.14/PL+EX | ||||
| Obs2005 | … | … | … | 1.59 ± 0.06 | 1.03 | 0.99 | |||||||
| Obs2005 | PL | 1.22 | … | … | 1.53 ± 0.07 | … | … | … | 1.05 | 1.01 | 1.14∕385 | ||
| Obs2014 | … | … | 1.42 ± 0.02 | … | … | … | 1.03 | 0.80 | |||||
| Obs2005 | BKN | 1.22 | … | 1.49 ± 0.03 | … | … | 1.03 | 0.99 | 1.01∕381 | 10−9/PL | |||
| Obs2014 | … | 1.38 ± 0.10 | … | … | 1.03 | 1.01 | |||||||
| Obs2005 | LGP | 1.22 | … | … | … | … | 1.36 ± 0.03 | 0.17 ± 0.06 | 1.03 | 0.99 | 1.05∕383 | 10−8/PL | |
| Obs2014 | … | … | … | … | 1.46 ± 0.08 | 0.25 ± 0.13 | 1.03 | 1.08 | |||||
| Obs2005 | PL+EX* | … | 1.51 ± 0.03 | … | … | … | 1.03 | 0.99 | 1.03∕383 | ||||
| Obs2014 | … | 1.54 ± 0.07 | … | … | … | 1.03 | 0.82 | ||||||
| Obs2005 | LGP+EX | … | … | … | 1.53 ± 0.08 | − 0.03 ± 0.11 | 1.03 | 0.99 | 1.01∕381 | 0.01/PL+EX | |||
| Obs2014 | … | … | … | 1.48 ± 0.08 | 0.22 ± 0.13 | 1.03 | 1.06 | ||||||
| QSO J0525–3343 | Obs324 | PL | 2.45 | … | … | 1.51 ± 0.02 | … | … | … | 1.05 | 1.04 | 1.09∕675 | |
| Obs583 | … | … | 1.54 ± 0.03 | … | … | … | 1.05 | 1.11 | |||||
| Obs588 | … | … | 1.52 ± 0.03 | … | … | … | 1.07 | 1.05 | |||||
| Obs324 | BKN | 2.45 | … | 1.60 ± 0.05 | … | … | 1.03 | 1.02 | 1.00∕669 | 10−12/PL | |||
| Obs583 | … | 1.59 ± 0.04 | … | … | 1.03 | 1.10 | |||||||
| Obs588 | … | 1.59 ± 0.04 | … | … | 1.05 | 1.03 | |||||||
| Obs324 | LGP | 2.45 | … | … | … | … | 1.56 ± 0.03 | 0.18 ± 0.06 | 1.03 | 1.02 | 1.02∕672 | 10−12/PL | |
| Obs583 | … | … | … | … | 1.59 ± 0.04 | 0.19 ± 0.08 | 1.03 | 1.09 | |||||
| Obs588 | … | … | … | … | 1.57 ± 0.04 | 0.18 ± 0.09 | 1.05 | 1.03 | |||||
| Obs324 | PL+EX* | … | 1.59 ± 0.03 | … | … | … | 1.03 | 1.02 | 1.00∕673 | ||||
| Obs583 | … | 1.62 ± 0.03 | … | … | … | 1.03 | 1.10 | ||||||
| Obs588 | … | 1.60 ± 0.03 | … | … | … | 1.05 | 1.03 | ||||||
| Obs324 | LGP+EX | … | … | … | 1.03 | 1.02 | 1.01∕670 | ||||||
| Obs583 | … | … | … | 1.03 | 1.09 | ||||||||
| Obs588 | … | … | … | 1.05 | 1.03 | ||||||||
| QSO B1026-084 | PL | 5.28 | … | … | 1.39 ± 0.02 | … | … | … | 1.00 | 1.01 | 1.18∕257 | ||
| BKN | 5.28 | … | 1.16 ± 0.09 | 1.49 ± 0.04 | … | … | 0.99 | 0.99 | 1.08∕255 | 10−6/PL | |||
| LGP | 5.28 | … | … | … | … | 1.30 ± 0.04 | 0.99 | 0.99 | 1.11∕256 | 10−6/PL | |||
| PL+EX* | … | 1.46 ± 0.04 | … | … | … | 0.99 | 0.99 | 1.11∕255 | |||||
| LGP+EX | … | … | … | 0.09 ± 0.13 | 0.99 | 0.99 | 1.11∕254 | ||||||
| QSO B0014+810 | PL | 22.2 | … | … | 1.50 ± 0.02 | … | … | … | 1.01 | 1.04 | 1.03∕376 | ||
| BKN | 22.2 | … | insensitive | 1.49 ± 0.02 | … | … | 1.01 | 1.04 | 1.01∕372 | 0.04/PL | |||
| LGP | 22.2 | … | … | … | … | 1.51 ± 0.03 | − 0.03 ± 0.05 | 1.01 | 1.04 | 1.03∕373 | 0.27/PL | ||
| PL+EX* | <22.1b | <0.84 | … | 1.48 ± 0.03 | … | … | … | 1.01 | 1.04 | 1.03∕374 | |||
| PL | 22.2 | … | … | 1.50 ± 0.02 | … | … | … | 1.01 | 1.04 | 1.01∕844 | |||
| Obs2014 | … | … | 1.72 ± 0.05 | … | … | … | 0.98 | 0.76 | |||||
| Obs2015 | … | … | 1.61 ± 0.04 | … | … | … | 1.00 | 0.90 | |||||
| BKN | 22.2 | … | insensitive | 1.49 ± 0.02 | … | … | 1.01 | 1.04 | 0.97∕838 | 10−7/PL | |||
| Obs2014 | … | 1.30 ± 0.26 | 1.77 ± 0.05 | … | … | 0.98 | 0.90 | ||||||
| Obs2015 | … | 1.64 ± 0.05 | … | … | 1.00 | 1.03 | |||||||
| LGP | 22.2 | … | … | … | … | 1.51 ± 0.03 | − 0.02 ± 0.05 | 1.01 | 1.04 | 0.98∕841 | 10−7/PL | ||
| Obs2014 | … | … | … | … | 1.66 ± 0.05 | 0.21 ± 0.09 | 0.98 | 0.93 | |||||
| Obs2015 | … | … | … | … | 1.54 ± 0.06 | 0.20 ± 0.09 | 1.00 | 1.11 | |||||
| PL+EX* | <0.54 | … | … | … | … | 1.01 | 1.03 | 1.02∕842 | |||||
| Obs2014 | … | … | … | … | 0.98 | 0.76 | |||||||
| Obs2015 | … | 1.61 ± 0.04 | … | … | … | 1.00 | 0.90 | ||||||
| LGP+EX | < 21.9b | < 0.62 | … | … | … | 1.47 ± 0.12 | 0.02 ± 0.11 | 1.01 | 1.04 | 0.98∕839 | 10−7/PL+EX | ||
| Obs2014 | … | … | … | 1.65 ± 0.06 | 0.22 ± 0.09 | 0.98 | 0.94 | ||||||
| Obs2015 | … | … | … | 1.53 ± 0.06 | 0.21 ± 0.09 | 1.00 | 1.11 | ||||||
| PKS 2126–158 | PL | 6.15 | … | … | 1.32 ± 0.01 | … | … | … | 1.09 | 1.12 | 1.54∕394 | ||
| BKN | 6.15 | … | 1.44 ± 0.03 | … | … | 1.06 | 1.09 | 1.02∕392 | 10−36/PL | ||||
| LGP | 6.15 | … | … | … | … | 1.18 ± 0.02 | 0.30 ± 0.04 | 1.06 | 1.09 | 1.11∕393 | 10−30/PL | ||
| PL+EX* | >5.26b | … | 1.45 ± 0.02 | … | … | … | 1.06 | 1.09 | 0.99∕392 | ||||
| LGP+EX | … | … | … | 0.03 ± 0.07 | 1.06 | 1.09 | 0.99∕391 | 0.44/PL+EX | |||||
| QSO B0537–286 | Obs00 | PL | 2.42 | … | … | 1.30 ± 0.01 | … | … | … | 1.03 | 1.04 | 1.11∕776 | |
| Obs05 | … | … | 1.18 ± 0.02 | … | … | … | 1.05 | 0.99 | |||||
| Obs00 | BKN | 2.42 | … | 1.35 ± 0.02 | 1.18 ± 0.04 | … | … | 1.04 | 1.05 | 1.01∕770 | 10−14/PL | ||
| Obs00 | BKN | 2.42 | … | 1.35 ± 0.02 | 1.18 ± 0.04 | … | … | 1.04 | 1.05 | 1.01∕770 | 10−14/PL | ||
| Obs05 | … | 1.21 ± 0.02 | … | … | 1.04 | 0.98 | |||||||
| Obs00 | LGP | 2.42 | … | … | … | … | 1.34 ± 0.02 | − 0.10 ± 0.03 | 1.04 | 1.05 | 1.05∕772 | 10−9/PL | |
| Obs05 | … | … | … | … | 1.13 ± 0.03 | 1.04 | 0.98 | ||||||
| Obs00 | PL+EX | <2.53b | <0.18 | … | 1.30 ± 0.01 | … | … | … | 1.03 | 1.04 | 1.11∕774 | ||
| Obs05 | … | 1.18 ± 0.02 | … | … | … | 1.05 | 0.99 | ||||||
| Obs00 | LGP+EX* | … | … | … | 1.43 ± 0.04 | 1.04 | 1.05 | 1.02∕770 | 10−13/PL+EX | ||||
| Obs05 | … | … | … | 1.22 ± 0.04 | 0.01 ± 0.06 | 1.04 | 0.98 | ||||||
| QSO B0438–43 | PL | 1.41 | … | … | 1.45d | … | … | … | 1.14 | 1.15 | 2.48∕286 | ||
| BKN | 1.41 | … | 1.62 ± 0.02 | … | … | 1.07 | 1.08 | 1.06∕284 | 10−53/PL | ||||
| LGP | 1.41 | … | … | … | … | 1.29 ± 0.03 | 0.53 ± 0.06 | 1.07 | 1.08 | 1.45∕285 | 10−35/PL | ||
| PL+EX* | … | 1.71 ± 0.03 | … | … | … | 1.06 | 1.07 | 0.97∕284 | |||||
| LGP+EX | … | … | … | − 0.11 ± 0.09 | 1.06 | 1.07 | 0.96∕283 | 0.07/PL+EX | |||||
| RBS 315 | Obs2003 | PL | 16.3 | … | … | 1.12d | … | … | … | 1.09 | 1.10 | 2.25∕1376 | |
| Obs2013a | … | … | 1.30d | … | … | … | 1.10 | 1.11 | |||||
| Obs2013b | … | … | 1.29d | … | … | … | 1.10 | 1.14 | |||||
| Obs2003 | BKN | 16.3 | … | 1.23 ± 0.02 | … | … | 1.07 | 1.08 | 1.10∕1370 | 10−210/PL | |||
| Obs2013a | … | 0.82 ± 0.05 | 1.43 ± 0.01 | … | … | 1.08 | 1.09 | ||||||
| Obs2013b | … | 1.41 ± 0.02 | 1.17 ± 0.07 | … | … | 1.07 | 1.11 | ||||||
| Obs2003 | LGP | 16.3 | … | … | … | … | 0.91 ± 0.03 | 0.33 ± 0.04 | 1.06 | 1.07 | 1.21∕1373 | 10−184/PL | |
| Obs2013a | … | … | … | … | 1.08 ± 0.02 | 0.38 ± 0.02 | 1.07 | 1.09 | |||||
| Obs2013b | … | … | … | … | 1.07 ± 0.02 | 0.36 ± 0.03 | 1.07 | 1.11 | |||||
| Obs2003 | PL+EX | >18.4b | … | 1.25 ± 0.01 | … | … | … | 1.07 | 1.08 | 1.11∕1374 | |||
| Obs2013a | … | 1.45 ± 0.01 | … | … | … | 1.08 | 1.09 | ||||||
| Obs2013b | … | 1.42 ± 0.01 | … | … | … | 1.07 | 1.11 | ||||||
| Obs2003 | LGP+EX* | >17.3b | … | … | … | 1.14 ± 0.04 | 0.11 ± 0.04 | 1.06 | 1.07 | 1.08∕1371 | 10−10/PL+EX | ||
| Obs2013a | … | … | … | 1.32 ± 0.03 | 0.14 ± 0.04 | 1.07 | 1.09 | ||||||
| Obs2013b | … | … | … | 1.31 ± 0.03 | 1.07 | 1.11 | |||||||
| Obs2003 | PL | 16.3 | … | … | 1.12 ± 0.01 | … | … | … | 1.09 | 1.10 | 1.70∕2726 | ||
| Obs2013a | … | … | 1.30 ± 0.01 | … | … | … | 1.10 | 0.12 | |||||
| Obs2013b | … | … | 1.29 ± 0.01 | … | … | … | 1.10 | 1.14 | |||||
| Obs2014 | … | … | 1.49 ± 0.02 | … | … | … | 0.99 | 0.61 | |||||
| Obs2015 | … | … | 1.61 ± 0.02 | … | … | … | 1.01 | 0.52 | |||||
| Obs2003 | BKN | 16.3 | … | 1.23 ± 0.02 | … | … | 1.07 | 1.08 | 1.05∕2716 | 10−278/PL | |||
| Obs2013a | … | 0.82 ± 0.05 | 1.43 ± 0.01 | … | … | 1.08 | 1.09 | ||||||
| Obs2013b | … | 1.41 ± 0.02 | 1.17 ± 0.07 | … | … | 1.07 | 1.11 | ||||||
| Obs2014 | … | 1.07 ± 0.09 | … | … | 0.99 | 0.89 | |||||||
| Obs2015 | … | 1.01 ± 0.12 | … | … | 1.01 | 0.97 | |||||||
| Obs2003 | LGP | 16.3 | … | … | … | … | 0.91 ± 0.03 | 0.33 ± 0.04 | 1.06 | 1.07 | 1.10∕2721 | 10−255/PL | |
| Obs2013a | … | … | … | … | 1.08 ± 0.02 | 0.38 ± 0.02 | 1.07 | 1.09 | |||||
| Obs2013b | … | … | … | … | 1.07 ± 0.02 | 0.36 ± 0.03 | 1.07 | 1.11 | |||||
| Obs2014 | … | … | … | … | 1.37 ± 0.03 | 0.25 ± 0.05 | 0.99 | 0.86 | |||||
| Obs2015 | … | … | … | … | 1.45 ± 0.03 | 0.37 ± 0.06 | 1.01 | 0.89 | |||||
| Obs2003 | PL+EX | >18.5b | … | 1.25 ± 0.01 | … | … | … | 1.07 | 1.08 | 1.09∕2724 | |||
| Obs2013a | … | 1.45 ± 0.01 | … | … | … | 1.08 | 1.09 | ||||||
| Obs2013b | … | 1.43 ± 0.01 | … | … | … | 1.07 | 1.11 | ||||||
| Obs2014 | … | 1.51 ± 0.02 | … | … | … | 1.03 | 0.82 | ||||||
| Obs2015 | … | 1.62 ± 0.02 | … | … | … | 1.03 | 0.82 | ||||||
| Obs2003 | LGP+EX* | >17.5b | … | … | … | 1.15 ± 0.04 | 0.11 ± 0.04 | 1.06 | 1.07 | 1.03∕2719 | 10−32/PL+EX | ||
| Obs2013a | … | … | … | 1.33 ± 0.03 | 0.13 ± 0.03 | 1.07 | 1.09 | ||||||
| Obs2013b | … | … | … | 1.31 ± 0.03 | 0.13 ± 0.04 | 1.07 | 1.11 | ||||||
| Obs2014 | … | … | … | 1.40 ± 0.03 | 0.20 ± 0.05 | 0.99 | 0.85 | ||||||
| Obs2015 | … | … | … | 1.47 ± 0.04 | 0.33 ± 0.06 | 1.01 | 0.89 | ||||||
| QSO J2354–1513 | PL | 2.78 | … | … | 1.51 ± 0.02 | … | … | … | 1.05 | 1.05 | 1.29∕326 | ||
| BKN | 2.78 | … | 1.57 ± 0.02 | 0.53 ± 0.08 | … | … | 1.04 | 1.03 | 1.04∕324 | 10−16/PL | |||
| LGP | 2.78 | … | … | … | … | 1.43 ± 0.02 | 0.23 ± 0.05 | 1.03 | 1.02 | 1.11∕325 | 10−12/PL | ||
| PL+EX* | … | … | … | … | 1.03 | 1.02 | 1.02∕324 | ||||||
| LGP+EX | … | … | … | − 0.03 ± 0.10 | 1.03 | 1.02 | 1.03∕323 | ||||||
| PBC J1656.2–3303 | PL | 33.1 | … | … | 1.13 ± 0.01 | … | … | … | 1.05 | 1.03 | 1.24∕420 | ||
| BKN | 33.1 | … | 1.19 ± 0.02 | 1.44 ± 0.20 | … | … | 1.04 | 1.02 | 1.13∕418 | 10−9/PL | |||
| LGP | 33.1 | … | … | … | … | 0.99 ± 0.04 | 0.18 ± 0.05 | 1.04 | 1.02 | 1.16∕419 | 10−7/PL | ||
| PL+EX* | >33.7a | < 1.14 | … | 1.20 ± 0.02 | … | … | … | 1.04 | 1.02 | 1.14∕418 | |||
| LGP+EX | > 29.3b | < 1.40 | … | … | … | 1.04 | 1.02 | 1.15∕417 | |||||
| PL | 33.1 | … | … | 1.13 ± 0.01 | … | … | … | 1.05 | 1.03 | 1.25∕690 | |||
| Obs2015 | … | … | 1.53 ± 0.04 | … | … | … | 1.04 | 0.79 | |||||
| BKN | 33.1 | … | 1.19 ± 0.02 | … | … | 1.04 | 1.02 | 1.08∕686 | 10−21/PL | ||||
| Obs2015 | … | 1.60 ± 0.05 | … | … | 1.04 | 1.07 | |||||||
| LGP | 33.1 | … | … | … | … | 0.99 ± 0.04 | 0.18 ± 0.05 | 1.04 | 1.02 | 1.12∕688 | 10−17/PL | ||
| Obs2015 | … | … | … | … | 1.40 ± 0.05 | 0.36 ± 0.09 | 1.04 | 1.13 | |||||
| PL+EX | >35.3b | … | 1.21 ± 0.02 | … | … | … | 1.04 | 1.02 | 1.15∕688 | ||||
| Obs2015 | … | 1.55 ± 0.04 | … | … | … | 1.04 | 0.84 | ||||||
| LGP+EX | >33.1b | <1.05 | … | … | … | 1.18 ± 0.09 | 1.04 | 1.02 | 1.11∕686 | ||||
| Obs2015 | … | … | … | 1.43 ± 0.06 | 0.31 ± 0.09 | 1.04 | 1.12 | ||||||
| LGP+EX*,e | >34.5b | … | … | … | 1.20 ± 0.02 | 0 | 1.04 | 1.02 | 1.11∕687 | 10−8/PL+EX | |||
| Obs2015 | … | … | … | 1.43 ± 0.06 | 0.31 ± 0.09 | 1.04 | 1.12 | ||||||
| QSO J0555+3948 | PL | 42.5 | … | … | 1.68 ± 0.03 | … | … | … | 1.08 | 1.09 | 1.14∕290 | ||
| BKN | 42.5 | … | … | … | 1.08 | 1.09 | 1.01∕288 | 10−8/PL | |||||
| LGP | 42.5 | … | … | … | … | 1.94 ± 0.07 | − 0.39 ± 0.09 | 1.09 | 1.10 | 0.99∕289 | 10−10/PL | ||
| PL+EX | <37.0b | <0.16 | … | 1.58 ± 0.03 | … | … | … | 1.08 | 1.09 | 1.03∕288 | |||
| LGP+EX* | <43.7b | <0.93 | … | … | … | 1.09 | 1.09 | 0.99∕287 | 10−4/PL+EX | ||||
| PKS 2149–306 | PL | 1.74 | … | … | 1.44 ± 0.01 | … | … | … | 1.02 | 1.02 | 1.01∕444 | ||
| BKN | 1.74 | … | 1.45 ± 0.01 | … | … | 1.03 | 1.02 | 1.00∕442 | |||||
| LGP | 1.74 | … | … | … | … | 1.45 ± 0.01 | − 0.02 ± 0.02 | 1.03 | 1.02 | 1.00∕443 | |||
| PL+EX* | <1.89b | < 0.04 | … | 1.44 ± 0.01 | … | … | … | 1.03 | 1.02 | 1.01∕444 | |||
| PL | 1.74 | … | … | 1.44 ± 0.01 | … | … | … | 1.02 | 1.02 | 1.05∕2741 | |||
| Obs2013 | … | … | 1.35 ± 0.01 | … | … | … | 1.06 | 0.73 | |||||
| Obs2014 | … | … | 1.44 ± 0.01 | … | … | … | 0.99 | 0.68 | |||||
| BKN | 1.74 | … | 1.45 ± 0.01 | … | … | 1.03 | 1.02 | 0.96∕2735 | 10−49/PL | ||||
| Obs2013 | … | 1.37 ± 0.01 | … | … | 1.06 | 0.93 | |||||||
| Obs2014 | … | 1.46 ± 0.01 | … | … | 0.99 | 0.97 | |||||||
| LGP | 1.74 | … | … | … | … | 1.45 ± 0.01 | − 0.02 ± 0.02 | 1.03 | 1.02 | 0.98∕2738 | 10−39/PL | ||
| Obs2013 | … | … | … | … | 1.28 ± 0.02 | 0.13 ± 0.02 | 1.06 | 0.91 | |||||
| Obs2014 | … | … | … | … | 1.35 ± 0.02 | 0.16 ± 0.03 | 0.99 | 0.89 | |||||
| PL+EX | >1.65b | <0.08 | … | 1.46 ± 0.01 | … | … | … | 1.02 | 1.02 | 1.05∕2739 | |||
| Obs2013 | … | 1.35 ± 0.01 | … | … | … | 1.06 | 0.74 | ||||||
| Obs2014 | … | 1.44 ± 0.01 | … | … | … | 0.99 | 0.69 | ||||||
| LGP+EX | >1.54b | <0.12 | … | … | … | 1.49 ± 0.03 | − 0.06 ± 0.04 | 1.03 | 1.02 | 0.98∕2736 | |||
| Obs2013 | … | … | … | 1.28 ± 0.02 | 0.12 ± 0.02 | 1.06 | 0.90 | ||||||
| Obs2014 | … | … | … | 1.36 ± 0.02 | 0.15 ± 0.03 | 0.99 | 0.89 | ||||||
| LGP+EX*,e | < 0.06 | … | … | … | 1.44 ± 0.01 | 0 | 1.02 | 1.02 | 0.98∕2736 | 10−38/PL+EX | |||
| Obs2013 | … | … | … | 1.28 ± 0.02 | 0.13 ± 0.02 | 1.06 | 0.91 | ||||||
| Obs2014 | … | … | … | 1.35 ± 0.02 | 0.16 ± 0.03 | 0.99 | 0.89 | ||||||
| QSO B0237–2322 | PL | 2.33 | … | … | 1.74 ± 0.02 | … | … | … | 1.01 | 1.05 | 0.95∕304 | ||
| BKN | 2.33 | … | 1.75 ± 0.03 | insensitive | … | … | 1.01 | 1.05 | 0.95∕302 | ||||
| LGP | 2.33 | … | … | … | … | 1.74 ± 0.02 | − 0.02 ± 0.05 | 1.01 | 1.05 | 0.96∕303 | |||
| PL+EX*,g | < 2.60b | < 0.11 | … | 1.73 ± 0.03 | … | … | … | 1.01 | 1.05 | 0.96∕414 | |||
| 4C 71.07 | PL | 3.16 | … | … | 1.33 ± 0.01 | … | … | … | 1.08 | 1.08 | 1.24∕501 | ||
| BKN | 3.16 | … | 1.38 ± 0.01 | … | … | 1.07 | 1.07 | 1.09∕499 | 10−14/PL | ||||
| LGP | 3.16 | … | … | … | … | 1.29 ± 0.01 | 0.08 ± 0.02 | 1.07 | 1.07 | 1.09∕500 | 10−15/PL | ||
| PL+EX | >3.30b | … | 1.36 ± 0.01 | … | … | … | 1.07 | 1.08 | 1.13∕499 | ||||
| LGP+EX* | <0.07 | … | … | … | 1.30 ± 0.03 | 0.07 ± 0.03 | 1.07 | 1.07 | 1.09∕498 | 10−4/PL+EX | |||
| PL | 3.16 | … | … | 1.33 ± 0.01 | … | … | … | 1.08 | 1.08 | 1.17∕2123 | |||
| Obs2013 | … | … | 1.64 ± 0.02 | … | … | … | 1.04 | 0.65 | |||||
| Obs2014 | … | … | 1.62 ± 0.01 | … | … | … | 1.02 | 0.68 | |||||
| BKN | 3.16 | … | 1.38 ± 0.01 | … | … | 1.07 | 1.07 | 1.04∕2117 | 10−54/PL | ||||
| Obs2013 | … | 1.68 ± 0.02 | … | … | 1.04 | 0.86 | |||||||
| Obs2014 | … | 1.65 ± 0.02 | … | … | 1.02 | 1.04 | |||||||
| LGP | 3.16 | … | … | … | … | 1.29 ± 0.01 | 0.08 ± 0.02 | 1.07 | 1.07 | 1.05∕2120 | 10−49/PL | ||
| Obs2013 | … | … | … | … | 1.58 ± 0.02 | 0.17 ± 0.04 | 1.04 | 0.85 | |||||
| Obs2014 | … | … | … | … | 1.53 ± 0.02 | 0.20 ± 0.03 | 1.02 | 0.96 | |||||
| PL+EX | >3.40b | … | 1.37 ± 0.01 | … | … | … | 1.07 | 1.07 | 1.12∕2121 | ||||
| Obs2013 | … | 1.65 ± 0.02 | … | … | … | 1.04 | 0.67 | ||||||
| Obs2014 | … | 1.63 ± 0.02 | … | … | … | 1.02 | 0.71 | ||||||
| LGP+EX*,g | >3.09b | <0.06 | … | … | … | 1.32 ± 0.02 | 1.07 | 1.08 | 1.04∕2973 | 10−30/PL+EX | |||
| Obs2013 | … | … | … | 1.58 ± 0.03 | 0.16 ± 0.04 | 1.04 | 0.85 | ||||||
| Obs2014 | … | … | … | 1.54 ± 0.03 | 0.19 ± 0.03 | 1.02 | 0.96 | ||||||
| PKS 0528+134 | Obs501 | PL | 38.5 | … | … | 1.41 ± 0.05 | … | … | … | … | 1.03 | 1.18∕620 | |
| Obs601 | … | … | 1.37 ± 0.03 | … | … | … | 1.02 | 1.05 | |||||
| Obs701 | … | … | 1.39 ± 0.04 | … | … | … | 0.94 | 1.03 | |||||
| Obs501 | BKN | 38.5 | … | … | … | … | 1.04 | 1.00∕614 | 10−21/PL | ||||
| Obs601 | … | … | … | 1.00 | 1.04 | ||||||||
| Obs701 | … | … | … | 0.91 | 1.00 | ||||||||
| Obs501 | LGP | 38.5 | … | … | … | … | 1.13 ± 0.15 | 0.40 ± 0.19 | … | 1.03 | 1.01∕617 | 10−21/PL | |
| Obs601 | … | … | … | … | 1.01 ± 0.08 | 0.53 ± 0.10 | 1.00 | 1.03 | |||||
| Obs701 | … | … | … | … | 1.14 ± 0.12 | 0.35 ± 0.17 | 0.92 | 1.01 | |||||
| Obs501 | PL+EX* | >35.3b | 1.56 ± 0.08 | … | … | … | … | … | 1.04 | 0.99∕618 | |||
| Obs601 | 1.55 ± 0.04 | … | … | … | … | 1.00 | 1.04 | ||||||
| Obs701 | 1.56 ± 0.05 | … | … | … | … | 0.91 | 1.00 | ||||||
| Obs501 | LGP+EX | … | … | … | … | 1.04 | 0.99∕615 | 0.35/PL+EX | |||||
| Obs601 | … | … | … | 1.00 | 1.04 | ||||||||
| Obs701 | … | … | … | 0.91 | 1.00 | ||||||||
Notes. XMM-Newton data were analysed in the 0.2−10 keV energy range for the EPIC-pn detector and 0.3−10 keV for EPIC-MOS detectors. For blazars with also NuSTAR observation(s) additional rows were added for the broadband 0.2− 79 keV fits. The first two columns show the source and the specific observation, if more than one (see Appendix B for abbreviations), which is highlighted in bold if referred to Swift-XRT+NuSTAR data. The third column shows the models used (PL = simple power-law with Galactic absorption; BKN = broken power-law with Galactic absorption; LGP = log-parabola with Galactic absorption; EX = cold excess absorption fixed at the source’s redshift). The reference model for each blazar is highlighted in italics and labelled with an asterisk, comments in the text. In the fourth column, the Galactic value was either fixed (Willingale et al. 2013) or free to vary between a ± 15% of the fixed value (when errors are reported). When fitted, the excess column density (in unity of 1022 cm−2) is reported in the fifth column. Columns 6, 7 and 8 represent, in the BKN model, the low- and high-energy photon index and the energy break, respectively. The seventh column shows also the photon index in the simple PL scenario. The ninth column, in the LGP model, represents the slope at the pivot energy, fixed at 1 keV in XMM-Newton spectra and at 5 keV for NuSTAR spectra. The tenth column show the curvature term in the LGP scenario. In columns 11 and 12, C1 and C2 are the two floating constants representing the cross-normalization parameter among the different cameras. They are referred to MOS1 and MOS2, respectively, in XMM-Newton fits and to FPMB and Swift-XRT, respectively, in the broadband fit. The last column shows the F-test p-value computed with respect to a specific model, reported aside. Errors and upper limits were computed at 90% confidence level (Δ χ2 = 2.706) within XSPEC, unless otherwise stated. (a)The fit is insensitive to the Galactic value between the ± 15% boundaries. (b)The Galactic value was left free to vary between the ± 15% boundaries of the tabulated value (Willingale et al. 2013). The fitted upper/lower limit has also the lower/upper 15% bound. (c) The excess column density can be better constrained to
fixing bobs05 = 0 in the LGP+EX fit. (d)An error calculation could not be computed due to the high reduced chi-square value. (e) This LGP+EX fit was performed fixing bXMM = 0, since the reference model for XMM-Newton data is PL+EX. (f)These errors were computed at 1-sigma confidence level within XSPEC. (g) Fit performed with RGS data added to the analysis, to improve the accuracy of the excess column. The F-test reported, if any, is computed without these data.
Current usage metrics show cumulative count of Article Views (full-text article views including HTML views, PDF and ePub downloads, according to the available data) and Abstracts Views on Vision4Press platform.
Data correspond to usage on the plateform after 2015. The current usage metrics is available 48-96 hours after online publication and is updated daily on week days.
Initial download of the metrics may take a while.