Free Access

Fig. 5

image

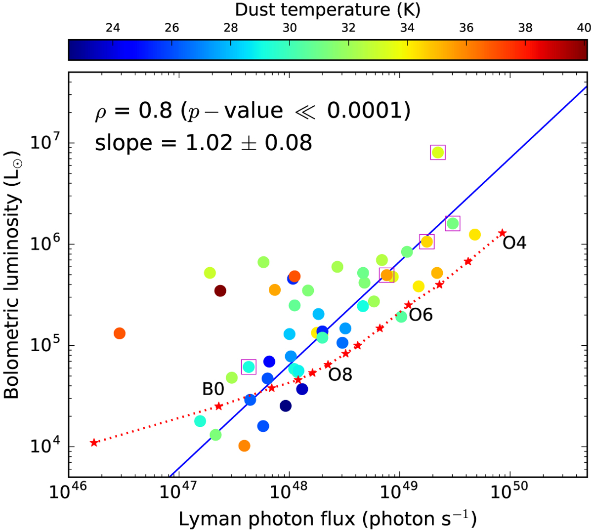
Bolometric luminosity (Lbol) as a function of Lyman continuum photon flux of 6 cm radio continuum emission integrated over the beam of the 3 mm observations. The colors indicate dust temperatures in the molecular clumps. The blue line shows the result of a fit to the datapoints using BCES bisector fitting. The purple squares superposed on the circles are particular sources with two Gaussian component RRLs (see Table 6 and Sect. 6). The red dotted line and red stars indicate bolometric luminosity and Lyman continuum photon flux corresponding to each spectral type (O4 − B0.5) for ZAMS stars from Panagia (1973).

Current usage metrics show cumulative count of Article Views (full-text article views including HTML views, PDF and ePub downloads, according to the available data) and Abstracts Views on Vision4Press platform.

Data correspond to usage on the plateform after 2015. The current usage metrics is available 48-96 hours after online publication and is updated daily on week days.

Initial download of the metrics may take a while.