Free Access

This article has an erratum: [https://doi.org/10.1051/0004-6361/201732392e]


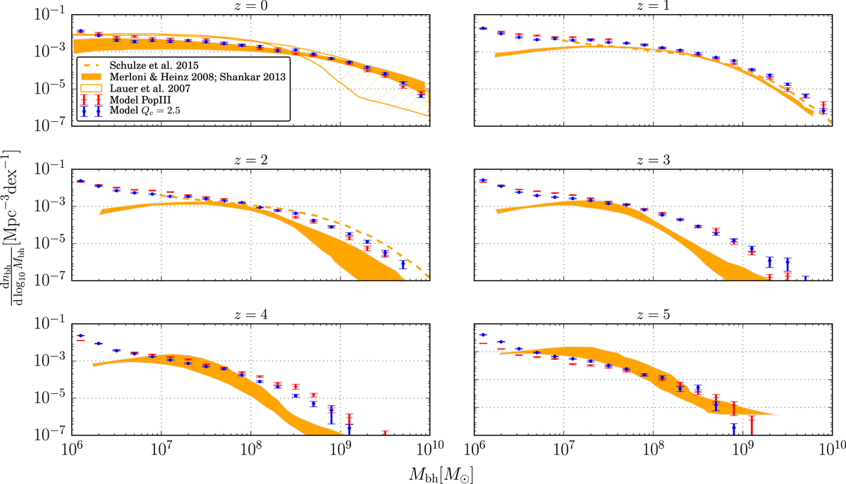
Fig. C.1.

image

Predictions of our model in two different scenarios, light-seed (“Pop III”) and heavy-seed (“Qc = 2.5”), for the mass function of black holes as a function of redshift. The model’s error bars are Poissonian. For comparison, also shown are the observational determinations of Shankar (2013) and Lauer et al. (2007) (at z = 0), and those of Merloni & Heinz (2008) and Schulze et al. (2015) (at z > 0).

Current usage metrics show cumulative count of Article Views (full-text article views including HTML views, PDF and ePub downloads, according to the available data) and Abstracts Views on Vision4Press platform.

Data correspond to usage on the plateform after 2015. The current usage metrics is available 48-96 hours after online publication and is updated daily on week days.

Initial download of the metrics may take a while.