Free Access

This article has an erratum: [https://doi.org/10.1051/0004-6361/201732392e]


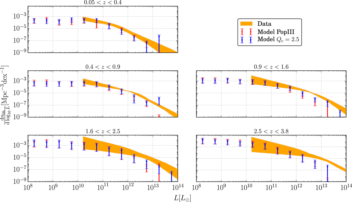
Fig. C.2.

image

Predictions of our model (with the same seed scenarios as in Fig. C.1) for the bolometric AGN luminosity function, compared with observational determinations – Hopkins et al. (2007), Lacy et al. (2015), La Franca et al. (2005), and Aird et al. (2010), the last only considered at z > 3 –, whose envelope is shown by a shaded orange area.

Current usage metrics show cumulative count of Article Views (full-text article views including HTML views, PDF and ePub downloads, according to the available data) and Abstracts Views on Vision4Press platform.

Data correspond to usage on the plateform after 2015. The current usage metrics is available 48-96 hours after online publication and is updated daily on week days.

Initial download of the metrics may take a while.