Free Access

This article has an erratum: [https://doi.org/10.1051/0004-6361/201732392e]


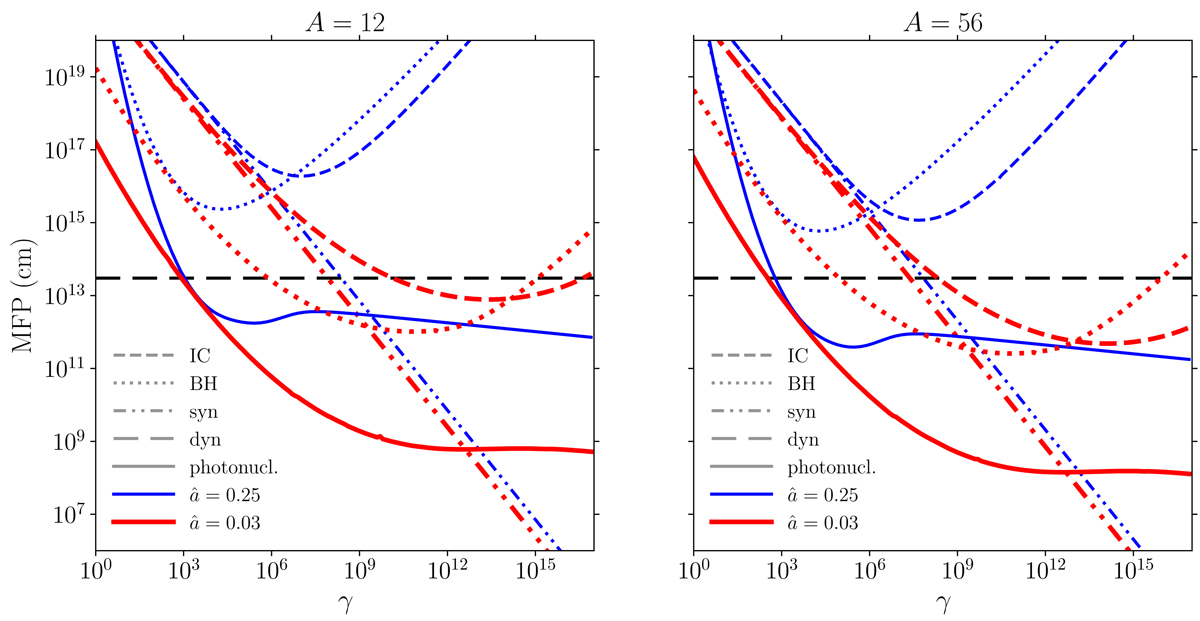
Fig. 2.

image

Influence of the log-parabola width â on the MFPs and energy loss lengths in the comoving frame for carbon (left panel) and iron (right panel) nuclei of Lorentz factor γ. The peak luminosity is set to Lpk = 1048 erg s−1 and two examples of widths are presented: â = 0.25 (blue) and â = 0.03 (red). The different line styles correspond to different processes: photonuclear (solid), inverse Compton (dashed), Bethe–Heitler (dotted), and synchrotron (double dot-dashed). The black long-dashed line corresponds to the typical comoving size of the region. Wider SED lead to larger MFPs.

Current usage metrics show cumulative count of Article Views (full-text article views including HTML views, PDF and ePub downloads, according to the available data) and Abstracts Views on Vision4Press platform.

Data correspond to usage on the plateform after 2015. The current usage metrics is available 48-96 hours after online publication and is updated daily on week days.

Initial download of the metrics may take a while.