Free Access

This article has an erratum: [https://doi.org/10.1051/0004-6361/201732392e]


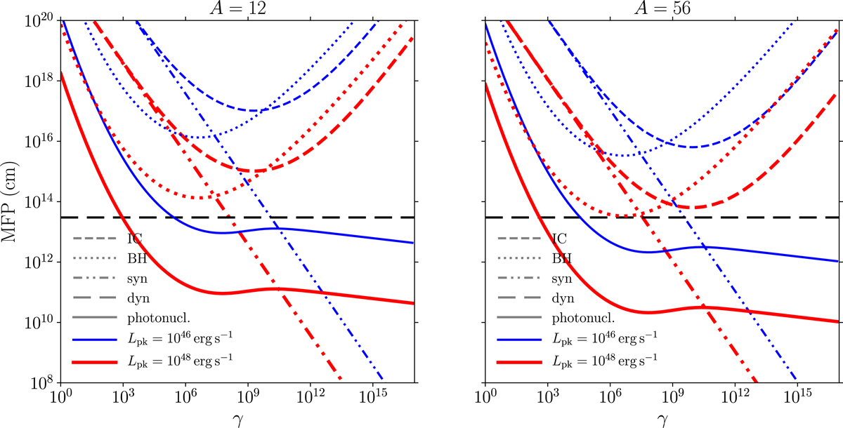
Fig. 3.

image

Influence of the log-parabola peak luminosity Lpk. Same as Fig. 2, but for fixed width â = 0.07 and varying the peak luminosity: Lpk = 1046 erg s−1 (blue) and Lpk = 1048 erg s−1 (red). Higher peak luminosity leads to shorter MFPs.

Current usage metrics show cumulative count of Article Views (full-text article views including HTML views, PDF and ePub downloads, according to the available data) and Abstracts Views on Vision4Press platform.

Data correspond to usage on the plateform after 2015. The current usage metrics is available 48-96 hours after online publication and is updated daily on week days.

Initial download of the metrics may take a while.