Free Access

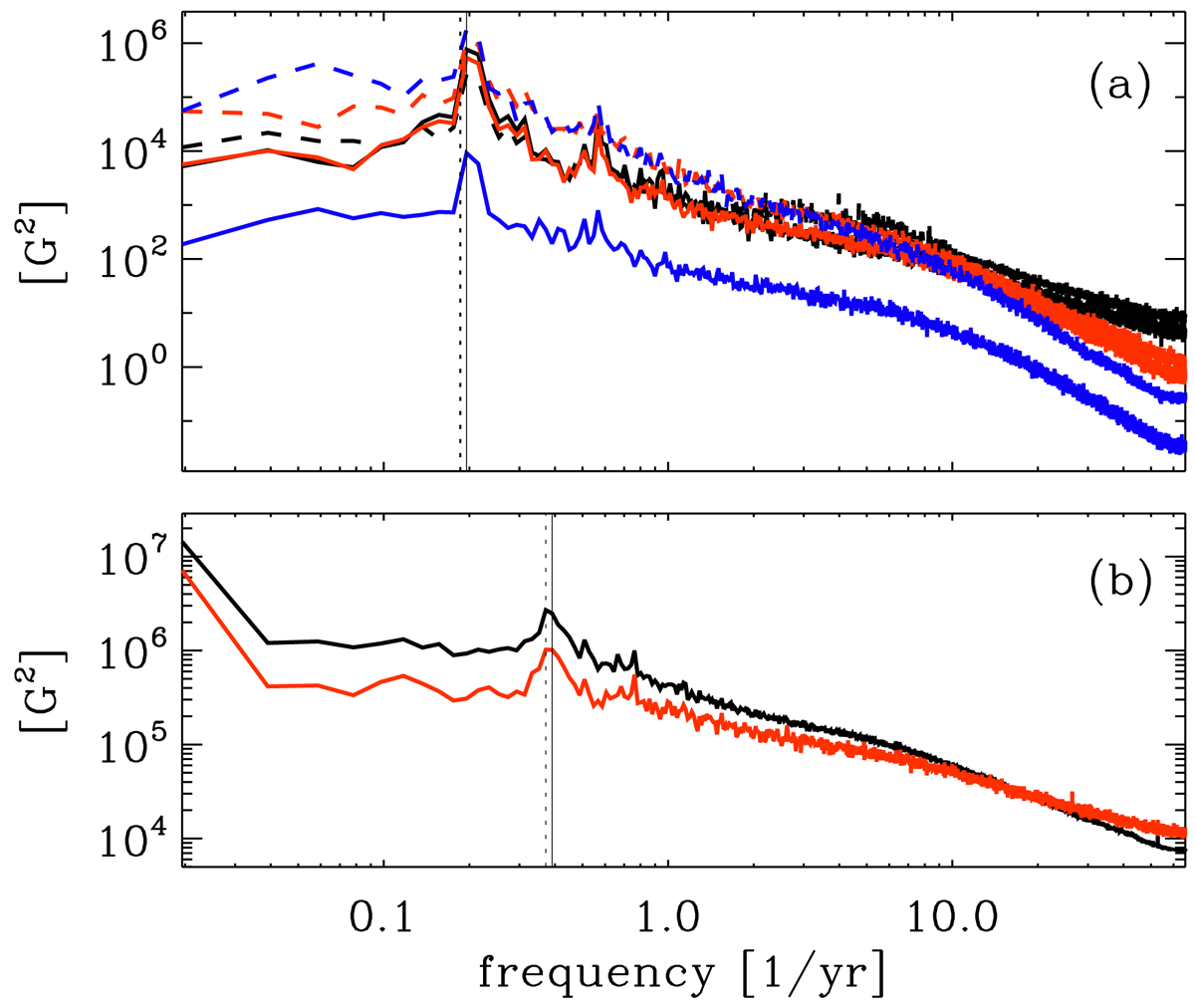
Fig. 3.

image

Magnetic power spectra for Run M7. Panel a: spectra of the mean radial magnetic field r (solid) and the mean azimuthal magnetic field φ (dashed) near the surface (r = 0.98; black), in the middle of the convection zone (r = 0.72; blue). Panel b: spectra of near the surface (r = 0.85; red) and averaged over radius (black). All spectra are obtained for each latitude and then averaged. The peaks in a correspond to magnetic cycle periods and in b to activity cycles periods. The solid vertical lines indicate the cycle periods determined from the weighted average of the spectra in a (Pcycl), the dashed lines indicate the cycle periods determined from the weighted average of the spectra in b ( cycl).

Current usage metrics show cumulative count of Article Views (full-text article views including HTML views, PDF and ePub downloads, according to the available data) and Abstracts Views on Vision4Press platform.

Data correspond to usage on the plateform after 2015. The current usage metrics is available 48-96 hours after online publication and is updated daily on week days.

Initial download of the metrics may take a while.