Free Access

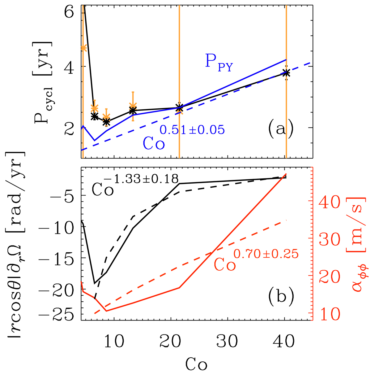
Fig. 6.

image

Panel a: comparison of the cycle periods Pcycl (black) and cycl (orange) with predicted cycle periods using a Parker–Yoshimura dynamo wave PPY (blue) for Runs M4 to M15. The dashed blue line indicates a power law fit to PPY. Panel b: contributions to the Parker– Yoshimura dynamo wave containing the radial shear (black line; left y-axis) and αφφ (red; right y-axis) for Runs M4 to M15. The dashed lines indicate the corresponding power law fits.

Current usage metrics show cumulative count of Article Views (full-text article views including HTML views, PDF and ePub downloads, according to the available data) and Abstracts Views on Vision4Press platform.

Data correspond to usage on the plateform after 2015. The current usage metrics is available 48-96 hours after online publication and is updated daily on week days.

Initial download of the metrics may take a while.