Press Release
Free Access

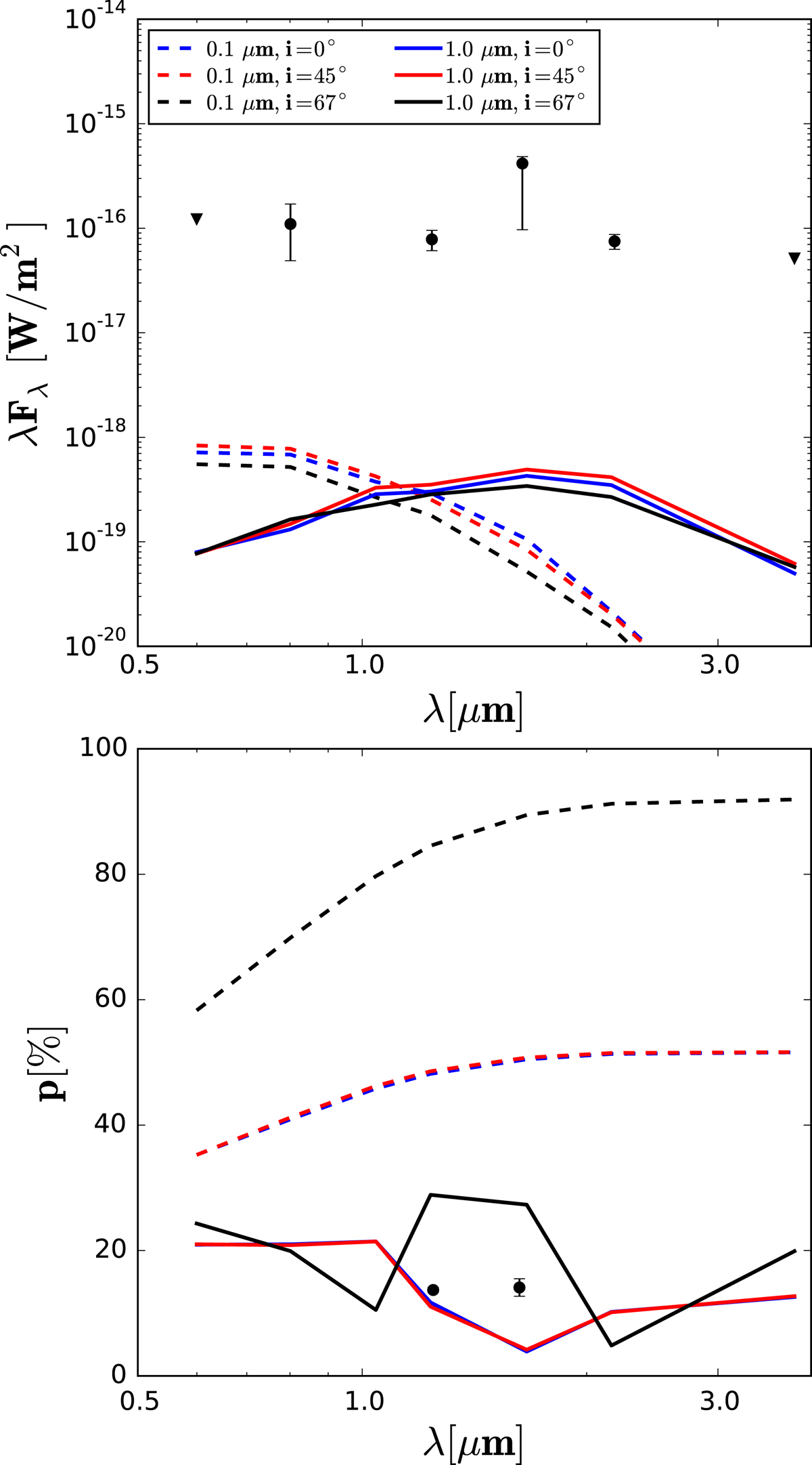
Fig. C.1.

image

Photometry and degree of linear polarization of the companion assuming the central object is of low enough mass that its thermal emission is negligible. This very low-mass object is still surrounded by a circum-companion disk. Thus the light received from the companion is entirely scattered light from the primary stars. We used different grain sizes and inclinations of the circum-companion disk, indicated by line style and color. We find that, while we can explain the degree of linear polarization with such a model, the received flux is several orders of magnitude below our measurements.

Current usage metrics show cumulative count of Article Views (full-text article views including HTML views, PDF and ePub downloads, according to the available data) and Abstracts Views on Vision4Press platform.

Data correspond to usage on the plateform after 2015. The current usage metrics is available 48-96 hours after online publication and is updated daily on week days.

Initial download of the metrics may take a while.