Press Release
Free Access

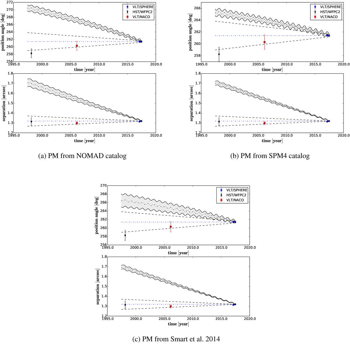
Fig. 4.

image

Proper motion diagrams of the companion relative to CS Cha. The wobbled gray lines are the area in which a nonmoving background object would be expected. The “wobbles” are due to the parallactic displacement of such an object visible during the Earths revolution around the Sun. The dashed lines indicate the area in which a comoving companion would be located. The dashed lines take potential orbital motion into account assuming an inclination (circular face-on for the position angle and circular edge-on for the separation) and total system mass (1 M, i.e., this assumes that the mass of the companion is small compared to CS Cha). In all three diagrams the companion is comoving with CS Cha and thus in all likelihood gravitationally bound. We note that we see a small differential motion in position angle across our 19 yr observation baseline, which is consistent with a circular face-on (or close to face-on) orbit.

Current usage metrics show cumulative count of Article Views (full-text article views including HTML views, PDF and ePub downloads, according to the available data) and Abstracts Views on Vision4Press platform.

Data correspond to usage on the plateform after 2015. The current usage metrics is available 48-96 hours after online publication and is updated daily on week days.

Initial download of the metrics may take a while.