Free Access

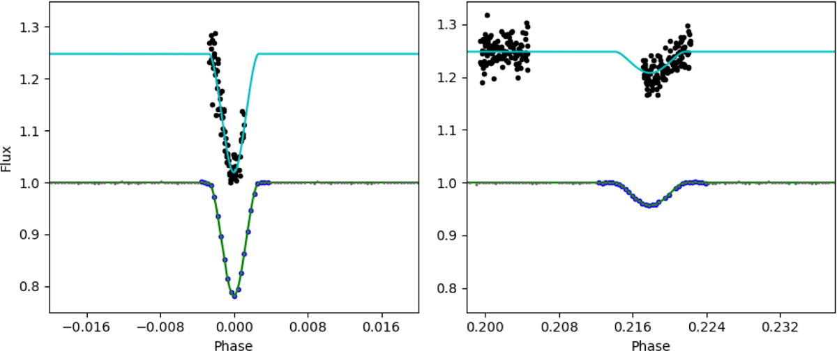
Fig. 10

image

K2 and WASP light curves of EPIC 206241558 around primary and secondary eclipse. Small gray points in the K2 light curve were not included in the fit. The WASP 200-mm data are shown offset vertically by 0.5 units. Solid lines show our best-fit light curve model.

Current usage metrics show cumulative count of Article Views (full-text article views including HTML views, PDF and ePub downloads, according to the available data) and Abstracts Views on Vision4Press platform.

Data correspond to usage on the plateform after 2015. The current usage metrics is available 48-96 hours after online publication and is updated daily on week days.

Initial download of the metrics may take a while.