Free Access

Fig. 14

image

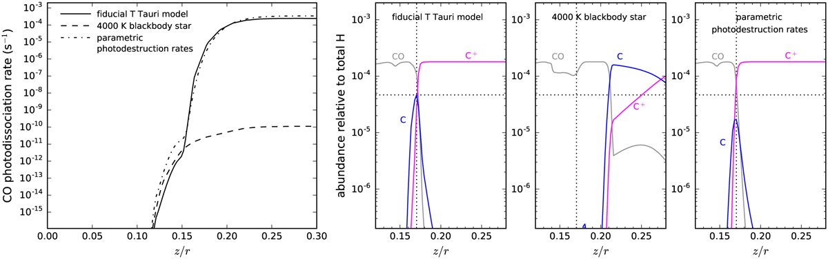
Vertical structure of the CO photodissociation rate (left panel) and the CO/C/C+ interface (right panels) at a radius of 1 au from the star for the T Tauri disk. We show results from our fiducial model, a model in which a 4000 K blackbody stellar spectrum is considered, and a model in which all photodestruction rates are computed using parametric expressions (see text). The dotted lines in the three right panels indicate the peak abundance of atomic carbon and the height at which it is reached in the fiducial model. The small drop in the abundance of CO seen around zr ~ 0.15, which is more marked in the 4000 K blackbody star model, is due to a maximum in the abundance of water.

Current usage metrics show cumulative count of Article Views (full-text article views including HTML views, PDF and ePub downloads, according to the available data) and Abstracts Views on Vision4Press platform.

Data correspond to usage on the plateform after 2015. The current usage metrics is available 48-96 hours after online publication and is updated daily on week days.

Initial download of the metrics may take a while.