Free Access

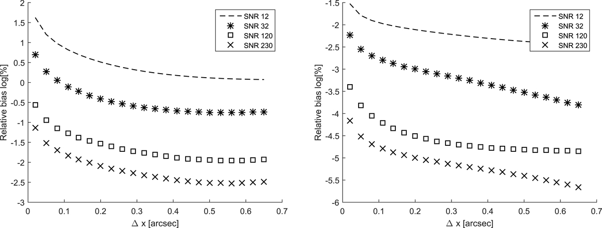
Fig. 1.

image

Relative performance of the bias (as measured by ) stipulated by Theorem 1 for the WLS estimator (left side, Eq. (29)) and the ML estimator (right side, Eq. (35)). Results are reported for different values of the source flux ∈ {1080, 3224, 20 004, 60, 160}, all in e (top to bottom symbols respectively), as a function of the detector pixel size. The 0% level corresponds to having achieved no bias.

Current usage metrics show cumulative count of Article Views (full-text article views including HTML views, PDF and ePub downloads, according to the available data) and Abstracts Views on Vision4Press platform.

Data correspond to usage on the plateform after 2015. The current usage metrics is available 48-96 hours after online publication and is updated daily on week days.

Initial download of the metrics may take a while.