Free Access

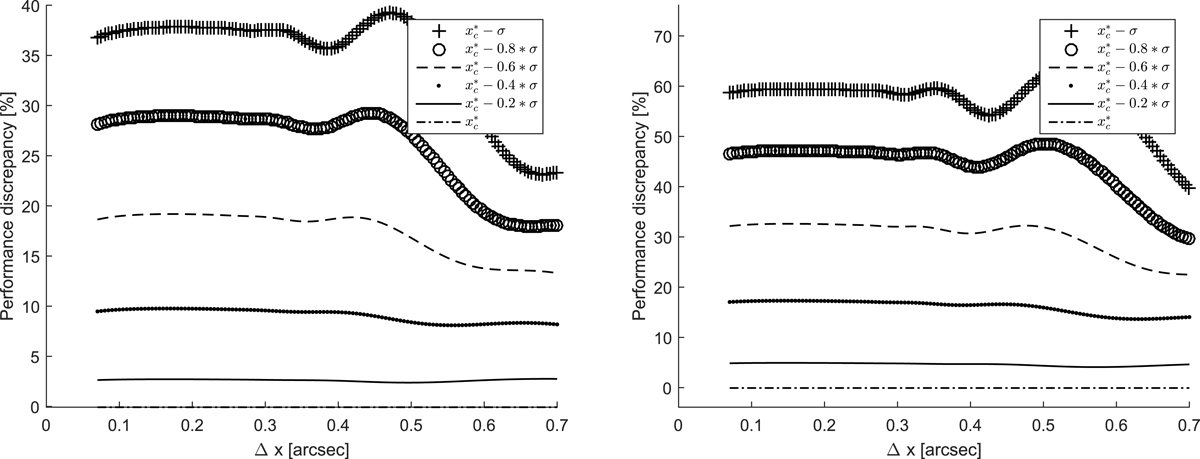
Fig. 4.

image

Performance discrepancies (measuring the non-optimality) of the WLS estimator using the center position as a prior for the weight selection with respect to the CR bound obtained for the true object positions . Results are reported for two S/N scenarios, namely = 20 004 e (left) and = 60 160 e (right), and across different pixel sizes.

Current usage metrics show cumulative count of Article Views (full-text article views including HTML views, PDF and ePub downloads, according to the available data) and Abstracts Views on Vision4Press platform.

Data correspond to usage on the plateform after 2015. The current usage metrics is available 48-96 hours after online publication and is updated daily on week days.

Initial download of the metrics may take a while.