Free Access

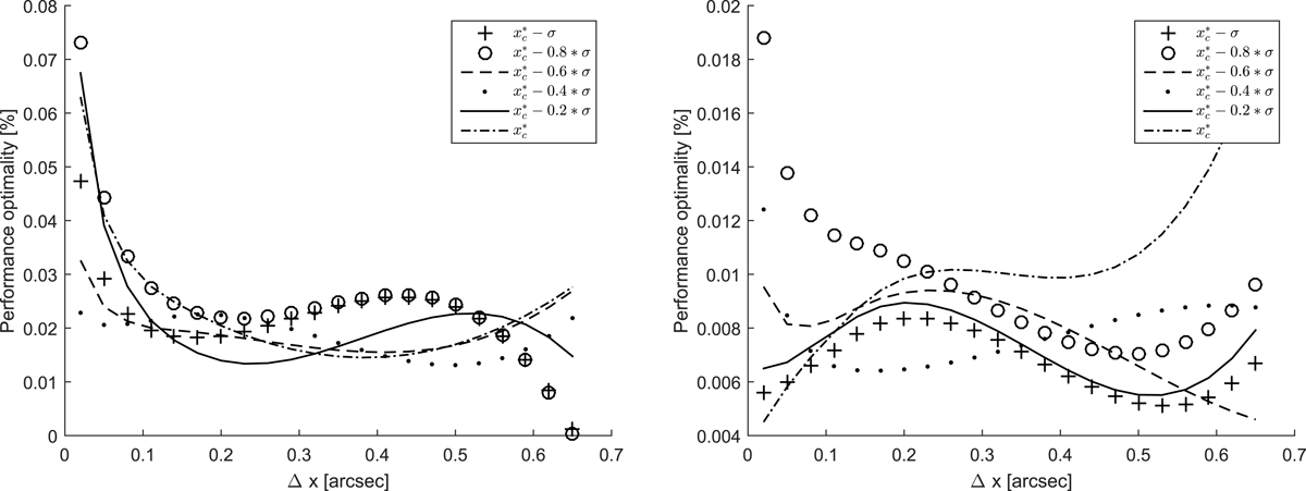
Fig. 6.

image

Performance optimality of the ML estimator (computed as ) for different positions of the target object in the array, as a function of pixel resolution. The left panel shows the case = 20 004 e, the right panel the case = 60 160 e.

Current usage metrics show cumulative count of Article Views (full-text article views including HTML views, PDF and ePub downloads, according to the available data) and Abstracts Views on Vision4Press platform.

Data correspond to usage on the plateform after 2015. The current usage metrics is available 48-96 hours after online publication and is updated daily on week days.

Initial download of the metrics may take a while.