Free Access

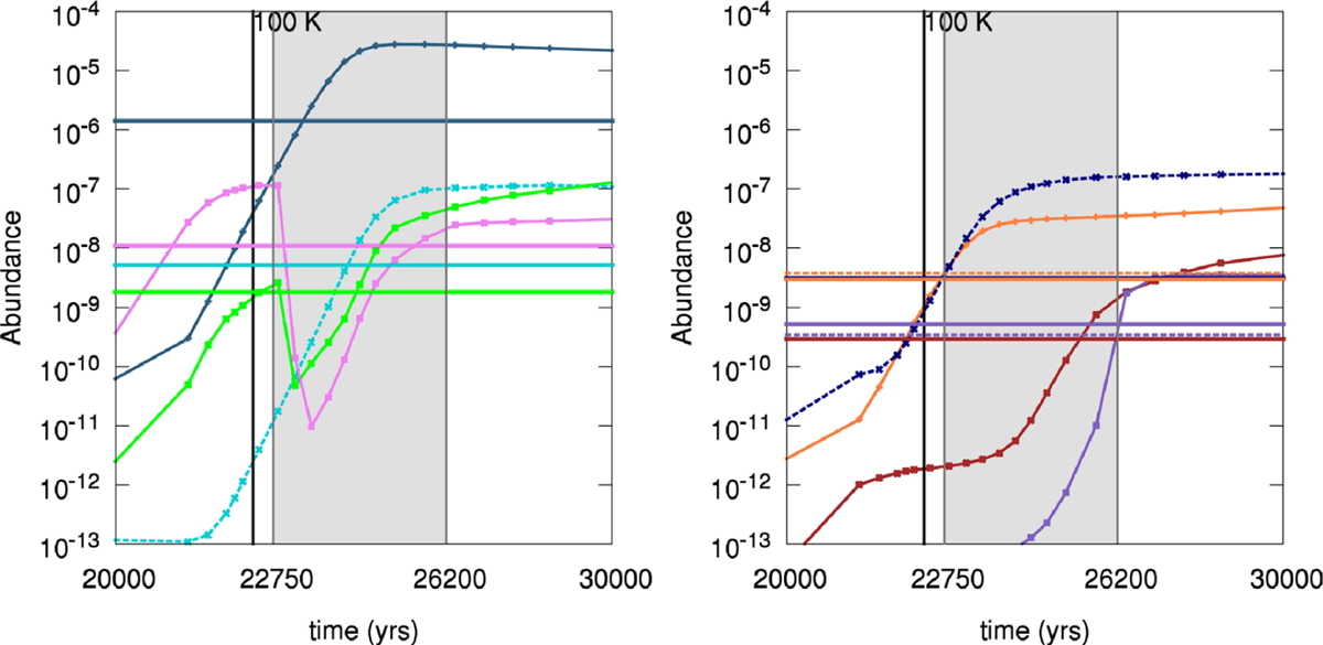
Fig. 12

image

Fractional abundances for source B3 with a cosmic-ray ionization rate of 1 × 10−16 s−1, a gas densityof 109 cm−3 for a fast warm-up. All species are shown in the key with color-coded dashed horizontal lines showing the observed abundances for source B3. The thinner dashed lines indicate the upper limit for HC3 N and the lower limit for C2H5CN, as they are the species that constrain the time span. The best fit time period of 3.4 kyr is shaded. The colors are coded as in Fig. 6.

Current usage metrics show cumulative count of Article Views (full-text article views including HTML views, PDF and ePub downloads, according to the available data) and Abstracts Views on Vision4Press platform.

Data correspond to usage on the plateform after 2015. The current usage metrics is available 48-96 hours after online publication and is updated daily on week days.

Initial download of the metrics may take a while.