Free Access

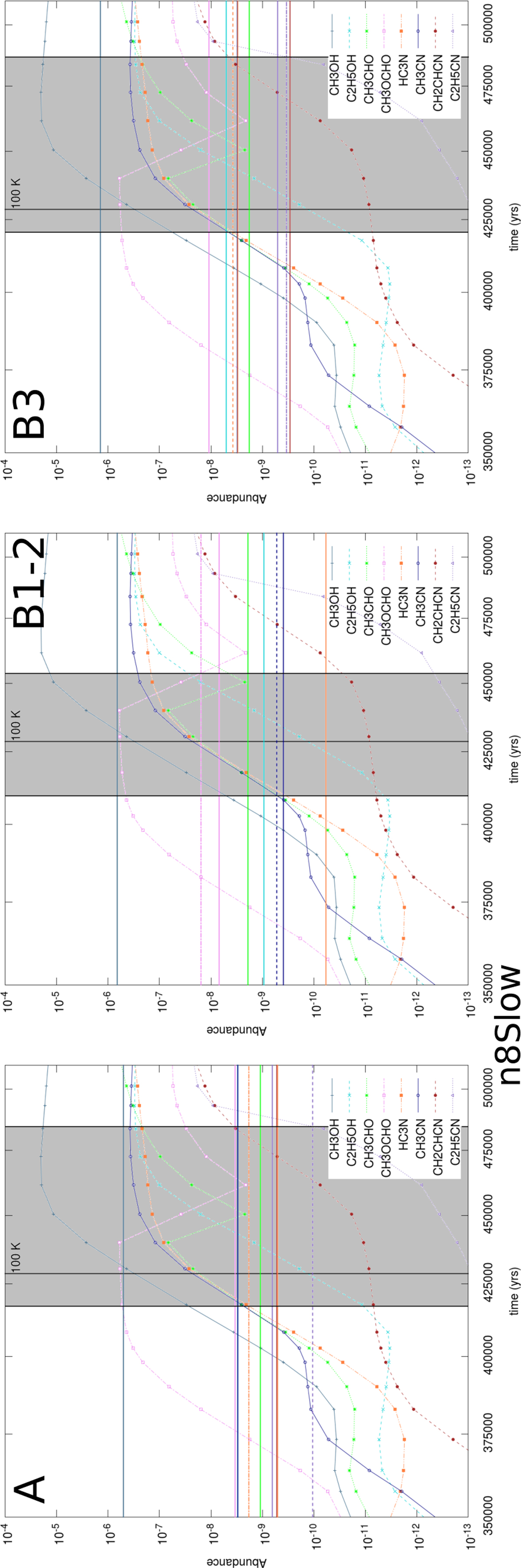
Fig. D.8

image

Abundances vs. H2 for CH3OH, C2 H5OH, CH3 CHO, CH3 OCHO, HC3 N, CH3 CN, CH2 CHCN, and C2H5CN using IC 5 with a density of 107 cm−3 and a slow warm-up time of 1 Myr are shown for G35.20 A (left), B1/B2 (middle), and B3 (right). The time period shown is only a part of the modeled time, from 350 to 510 kyr. The time range in which all abundances can be reproduced with an error of 1 order of magnitude are shaded in gray.

Current usage metrics show cumulative count of Article Views (full-text article views including HTML views, PDF and ePub downloads, according to the available data) and Abstracts Views on Vision4Press platform.

Data correspond to usage on the plateform after 2015. The current usage metrics is available 48-96 hours after online publication and is updated daily on week days.

Initial download of the metrics may take a while.