Free Access

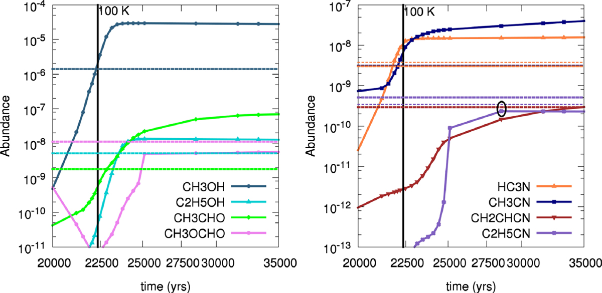
Fig. 4

image

Fractional abundance for B3 fast warm-up (from 10 to 500 K) model at a density of 107 cm−3 for the time period 20 000–35 000 yr with the fiducial model. Oxygen-bearing species are shown to the left and nitrogen bearing to the right. The y-axes have different scales. All species are shown in the key with color-coded dashed horizontal lines showing the observed abundances for B3. The thinner dashed lines indicate the upper limit for HC3 N and the lower limit for C2H5CN, as they are the species that best constrain the time span. The black ellipse highlights the difference between the modeled abundance of C2H5CN and the lower limit of the observed abundance. At the higher densities we tested, the model abundance of C2 H5CN is lower.

Current usage metrics show cumulative count of Article Views (full-text article views including HTML views, PDF and ePub downloads, according to the available data) and Abstracts Views on Vision4Press platform.

Data correspond to usage on the plateform after 2015. The current usage metrics is available 48-96 hours after online publication and is updated daily on week days.

Initial download of the metrics may take a while.