Free Access

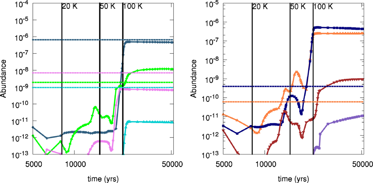
Fig. 7

image

Fractional abundance for B1-2 fast warm-up (from 10 to 500 K) model at a gas density of 107 cm−3 for the time period 5–50 kyr without reaction–diffusion competition. All species are color coded as in Fig. 6 with horizontal lines showing the observed abundances for B1/B2. The abundances of CH3 OH, CH3 OCHO, and C2 H5OH are not reproduced.

Current usage metrics show cumulative count of Article Views (full-text article views including HTML views, PDF and ePub downloads, according to the available data) and Abstracts Views on Vision4Press platform.

Data correspond to usage on the plateform after 2015. The current usage metrics is available 48-96 hours after online publication and is updated daily on week days.

Initial download of the metrics may take a while.