Free Access

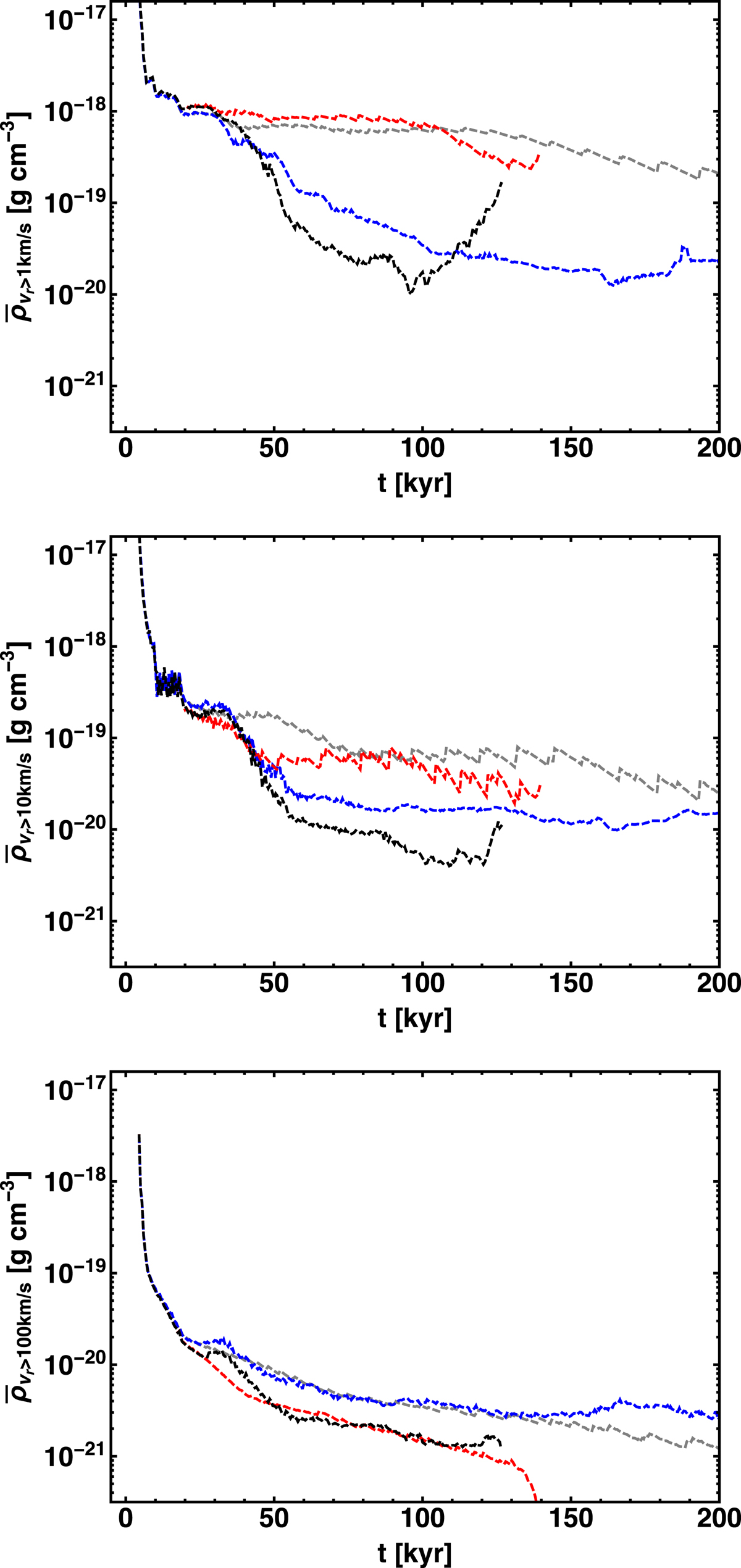
Fig. 20.

image

Outflow cavity mean densities: From top to bottom, the panels show the mean cavity density in regions with radial velocities higher than 1 km s−1, 10 km s−1, and 100 km s−1. Color and line styles are defined in Table 1.

Current usage metrics show cumulative count of Article Views (full-text article views including HTML views, PDF and ePub downloads, according to the available data) and Abstracts Views on Vision4Press platform.

Data correspond to usage on the plateform after 2015. The current usage metrics is available 48-96 hours after online publication and is updated daily on week days.

Initial download of the metrics may take a while.