Free Access

Fig. 2

image

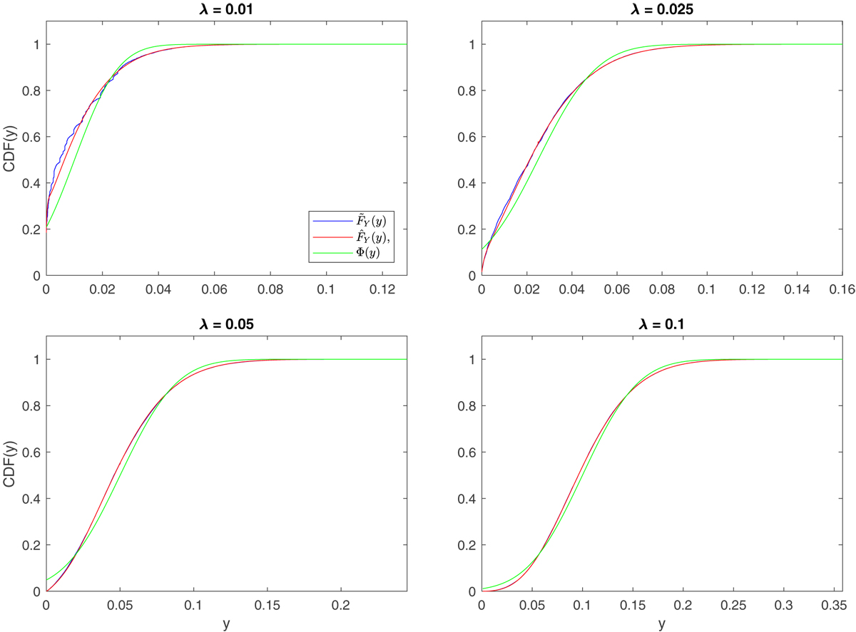
CDFs corresponding to the PDFs shown in Fig. 1. The SA is plotted with a red line, the best Gaussian fitwith a green line, and the sample CDF with a blue line. In the bottom panels the blue line is not visible since it coincides with the red one.

Current usage metrics show cumulative count of Article Views (full-text article views including HTML views, PDF and ePub downloads, according to the available data) and Abstracts Views on Vision4Press platform.

Data correspond to usage on the plateform after 2015. The current usage metrics is available 48-96 hours after online publication and is updated daily on week days.

Initial download of the metrics may take a while.