Free Access

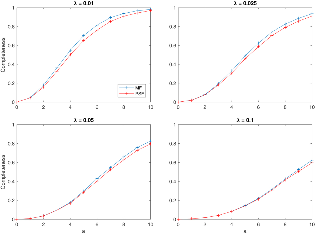
Fig. 4

image

Results of the numerical experiments presented in Sect. 6. Here, the performances of the MF and of the PSFF are compared on the basis of the completeness (i.e., the fraction of correctly detected signals) for different combinations of the amplitude a of the signal s with the intensity λ (units in counts pix−1) of the background (see Sect. 6). Here, s is given by ag with g a circular Gaussian with σ = 2 pixels normalized to unit volume. 104 simulated 13 × 13 pixels maps have been used. The detection test has been run assuming a detection threshold corresponding to α = 10−3.

Current usage metrics show cumulative count of Article Views (full-text article views including HTML views, PDF and ePub downloads, according to the available data) and Abstracts Views on Vision4Press platform.

Data correspond to usage on the plateform after 2015. The current usage metrics is available 48-96 hours after online publication and is updated daily on week days.

Initial download of the metrics may take a while.