Free Access
This article has 2 errata:
[https://doi.org/10.1051/0004-6361/202039217]
[https://doi.org/10.1051/0004-6361/201832698e]
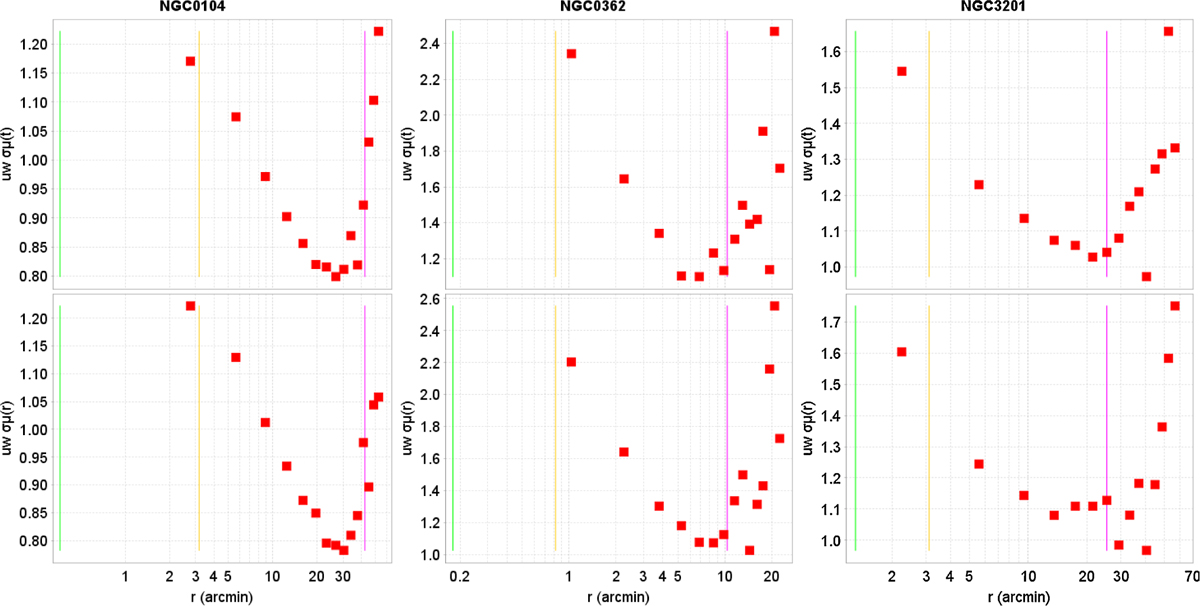
Fig. A.5
Three examples of the PM dispersion in the radial and transverse directions as a function of distance to the cluster centre. The three vertical lines indicate, from left to right, the core radius, the half-light radius, and the tidal radius following Harris10.
Current usage metrics show cumulative count of Article Views (full-text article views including HTML views, PDF and ePub downloads, according to the available data) and Abstracts Views on Vision4Press platform.
Data correspond to usage on the plateform after 2015. The current usage metrics is available 48-96 hours after online publication and is updated daily on week days.
Initial download of the metrics may take a while.