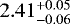
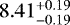
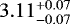
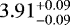
Table C.3

Globular cluster position and velocity from the Sun, not corrected for the solar motion or the local standard of rest.

Name X[kpc] Y [kpc] Z[kpc] U[km s−1] V [km s−1] W [km s−1]
NGC0104
             
NGC0288
             
NGC0362
             
NGC1851
             
NGC1904
             
NGC2298
             
NGC2808
             
NGC3201
             
NGC4372
             
NGC4590
             
NGC4833
             
NGC5024
             
NGC5053
             
NGC5139
             
NGC5272
             
NGC5286
             
NGC5466
             
NGC5634
             
NGC5897
             
NGC5904
             
NGC5927
             
NGC5946
             
NGC5986
             
NGC6093
             
NGC6121
             
NGC6144
             
NGC6171
             
NGC6205
             
NGC6218
             
NGC6235
             
NGC6254
             
NGC6266
             
NGC6273
             
NGC6284
             
NGC6287
             
NGC6293
             
NGC6304
             
NGC6316
             
NGC6325
             
NGC6333
             
NGC6341
             
NGC6342
             
NGC6352
             
NGC6356
             
NGC6362
             
NGC6366
             
NGC6380
             
NGC6388
             
NGC6397
             
NGC6401
NGC6402
             
NGC6440
             
NGC6441
             
NGC6453
             
NGC6496
             
NGC6517
             
NGC6522
             
NGC6528
             
NGC6535
             
NGC6539
             
NGC6541
             
NGC6544
             
NGC6626
             
NGC6637
             
NGC6656
             
NGC6681
             
NGC6752
             
NGC6779
             
NGC6809
             
NGC6838
             
NGC6864
             
NGC6981
             
NGC7078
             
NGC7089
             
NGC7099

Notes. Quoted values are medians, with errors that indicate uncertainties calculated from the 16th and 84th percentiles, and were obtained from Monte Carlo sampling the (statistical and our best estimates of the systematic) errors in the observables. X is towards l = 0, Y is in the direction of Galactic rotation (towards l = 90°), and Z towards b = 90 (the Galactic north pole). U, V, and W are the velocities in these directions.

Current usage metrics show cumulative count of Article Views (full-text article views including HTML views, PDF and ePub downloads, according to the available data) and Abstracts Views on Vision4Press platform.

Data correspond to usage on the plateform after 2015. The current usage metrics is available 48-96 hours after online publication and is updated daily on week days.

Initial download of the metrics may take a while.