Gaia Data Release 2
Free Access

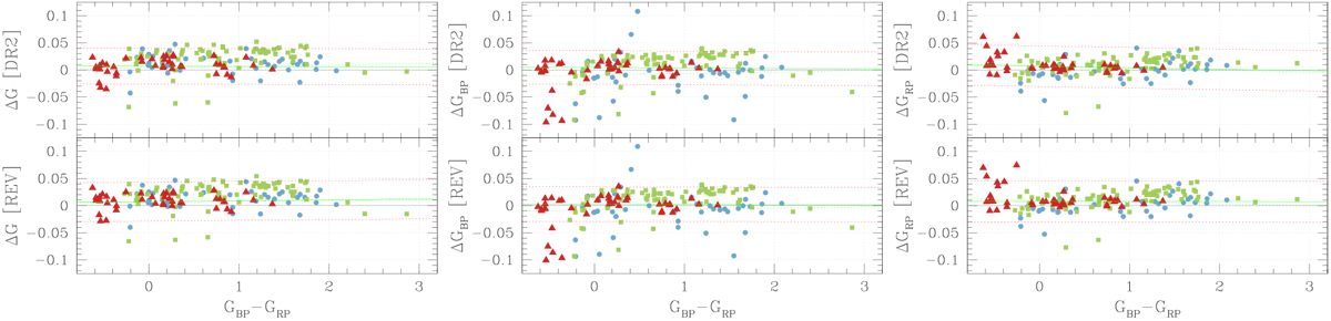
Fig. 25

image

Residuals between synthetic photometry computed on the NGSL, CALSPEC, and Stritzinger libraries and the corresponding Gaia DR2 magnitudes as a function of the observed GBPGRP colour. Symbols are the same as Fig. 24. Horizontal green and red lines represent a linear fit (with sigma-rejection clipping) to data with G > 10 and the ± 1σ region. Top:synthetic magnitudes computed by convolving the source SEDs with the DR2 passbands and normalising by the photometric zeropoint. Bottom: synthetic photometry obtained with the REV passband set.

Current usage metrics show cumulative count of Article Views (full-text article views including HTML views, PDF and ePub downloads, according to the available data) and Abstracts Views on Vision4Press platform.

Data correspond to usage on the plateform after 2015. The current usage metrics is available 48-96 hours after online publication and is updated daily on week days.

Initial download of the metrics may take a while.