Free Access

Fig. 3

image

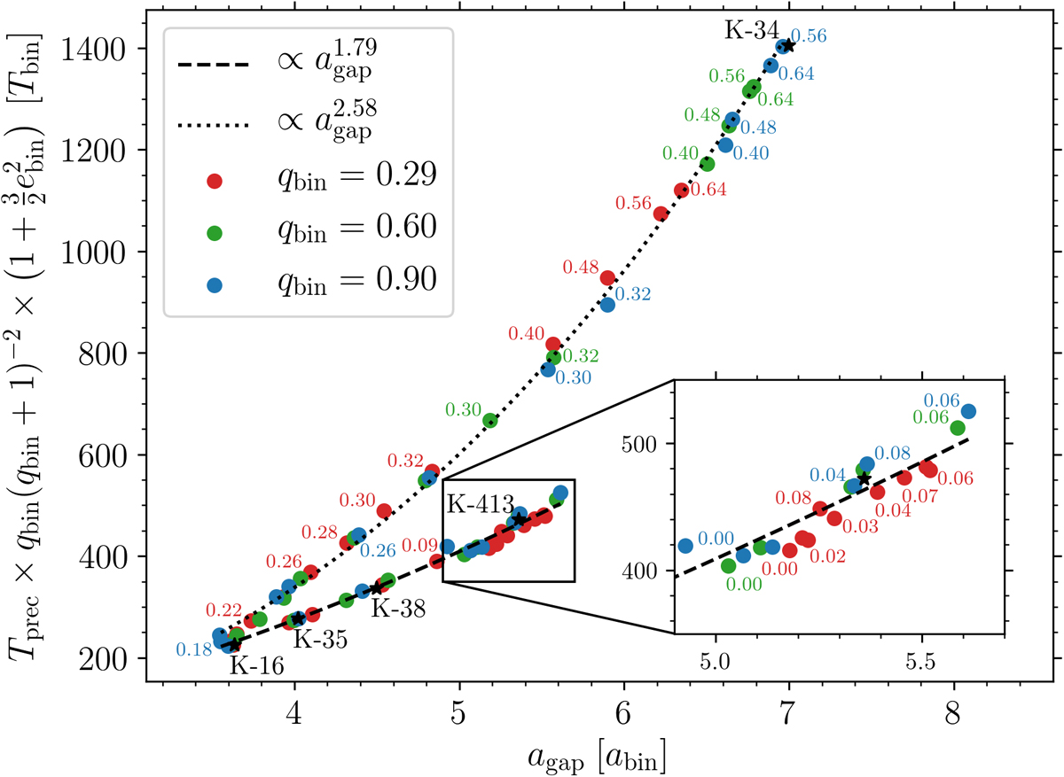
Precession period of the inner gap, scaled by the factor to account for the different mass ratios and eccentricities of the binary stars, plotted against the semi-major axis of the gap. Different bullets correspond to numerical results for different binary eccentricities whereas different colours stand for different binary mass ratios. The black dashed and dotted lines are fits to all data points on the lower (dashed) and upper (dotted) branch. The five different Kepler systems considered in this paper are marked by the black stars.

Current usage metrics show cumulative count of Article Views (full-text article views including HTML views, PDF and ePub downloads, according to the available data) and Abstracts Views on Vision4Press platform.

Data correspond to usage on the plateform after 2015. The current usage metrics is available 48-96 hours after online publication and is updated daily on week days.

Initial download of the metrics may take a while.