Open Access

Fig. 2

image

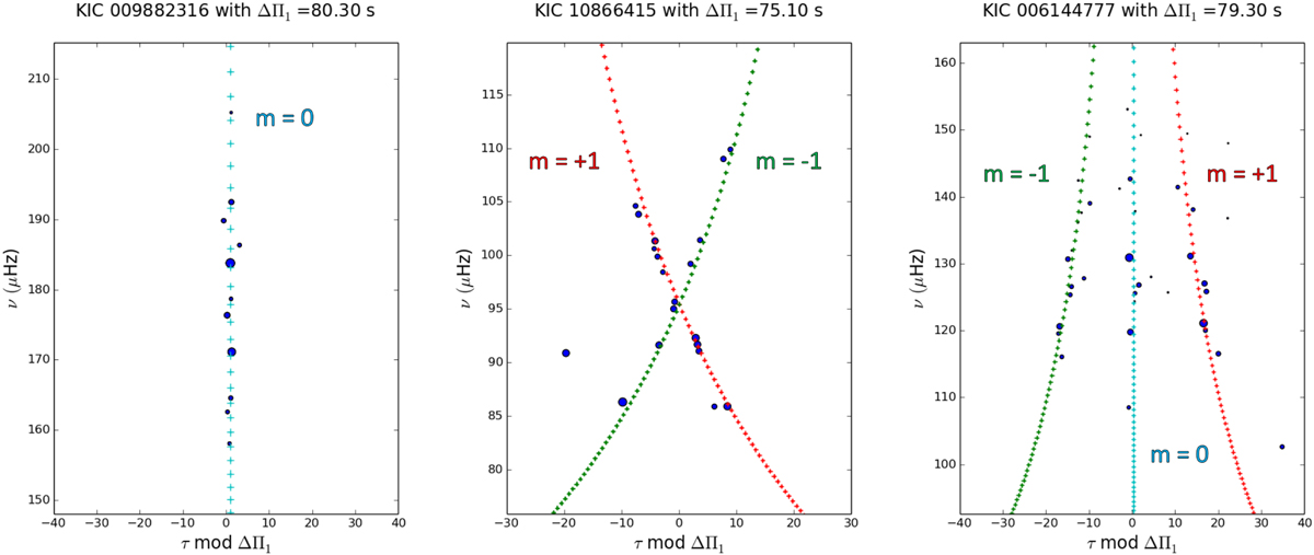
Stretched period échelle diagrams for red giant branch stars with different inclinations. The rotational components are identified in an automatic way through a correlation of the observed spectrum with a synthetic one constructed using Eq. (9). The colours indicate the azimuthal order: the m = {−1, 0, +1} rotationalcomponents are represented in green, light blue, and red, respectively. The symbol size varies as the power spectral density. Left panel: star seen pole-on where only the m = 0 rotational component is visible. Middle panel: star seen equator-on where the m = {−1, +1} componentsare visible. Right panel: star with an intermediate inclination angle where all the three components are visible.

Current usage metrics show cumulative count of Article Views (full-text article views including HTML views, PDF and ePub downloads, according to the available data) and Abstracts Views on Vision4Press platform.

Data correspond to usage on the plateform after 2015. The current usage metrics is available 48-96 hours after online publication and is updated daily on week days.

Initial download of the metrics may take a while.