Free Access

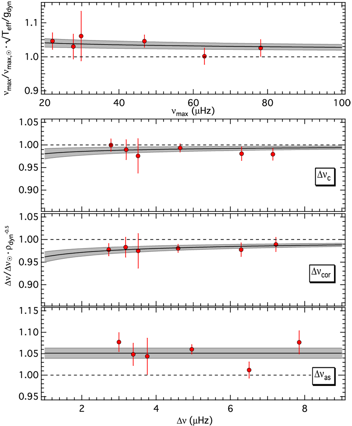
Fig. 4

image

Reference values for νmax (top panel) and Δν (bottom three panels) that result from the ratio of the seismic and dynamic parameters (in solar units). The dashed lines indicate the solar reference value. The full black lines show the new reference values and the grey-shaded range shows their uncertainties.

Current usage metrics show cumulative count of Article Views (full-text article views including HTML views, PDF and ePub downloads, according to the available data) and Abstracts Views on Vision4Press platform.

Data correspond to usage on the plateform after 2015. The current usage metrics is available 48-96 hours after online publication and is updated daily on week days.

Initial download of the metrics may take a while.