Free Access

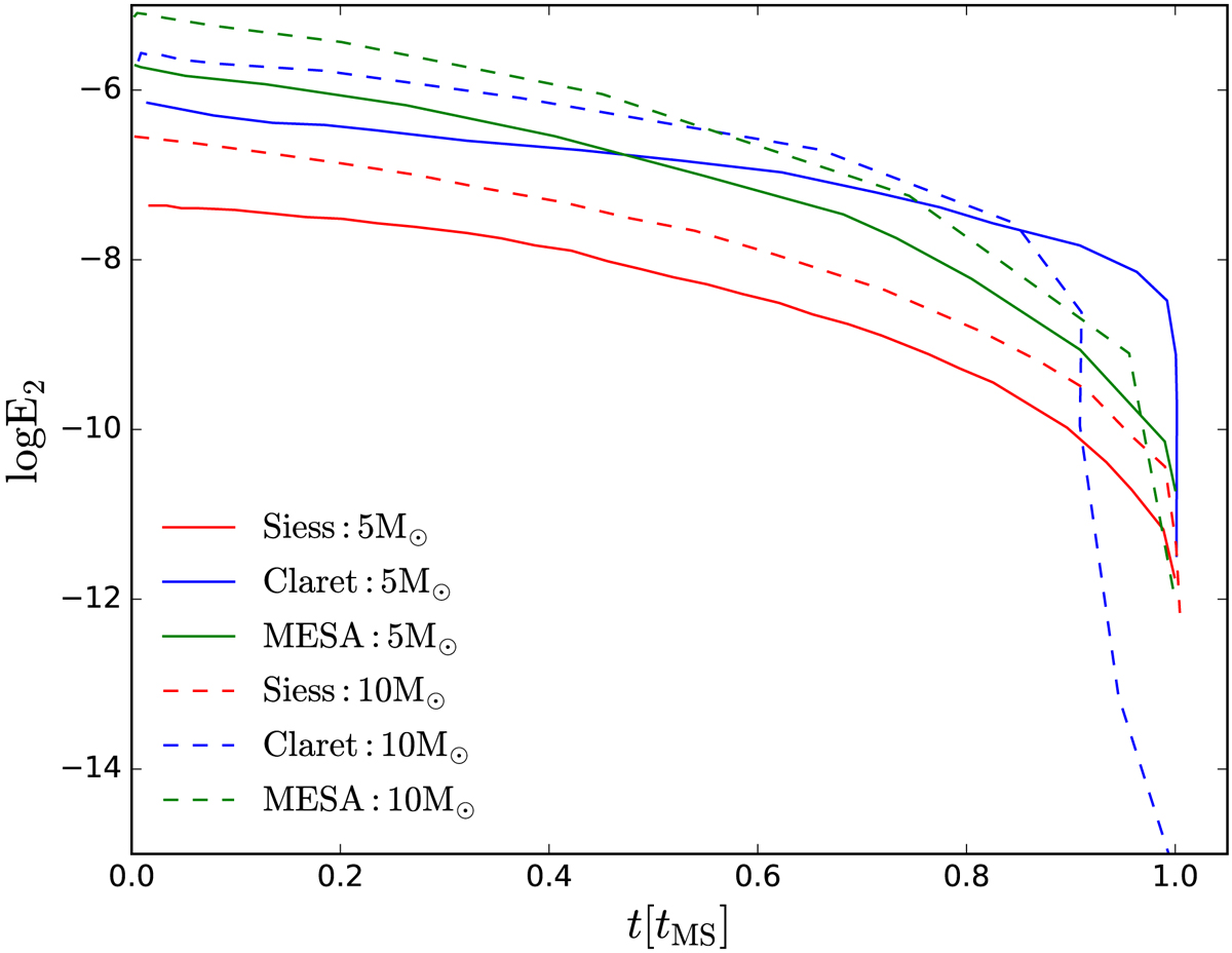
Fig. A.1.

image

Comparison of E2 coefficients computed by different authors. Solid lines and dashed lines correspond to 5 and 10 M main sequence stars, respectively. Red: data from Siess et al. (2013); blue: data from Claret (2004); green: results from this study.

Current usage metrics show cumulative count of Article Views (full-text article views including HTML views, PDF and ePub downloads, according to the available data) and Abstracts Views on Vision4Press platform.

Data correspond to usage on the plateform after 2015. The current usage metrics is available 48-96 hours after online publication and is updated daily on week days.

Initial download of the metrics may take a while.