Gaia Data Release 2
Open Access

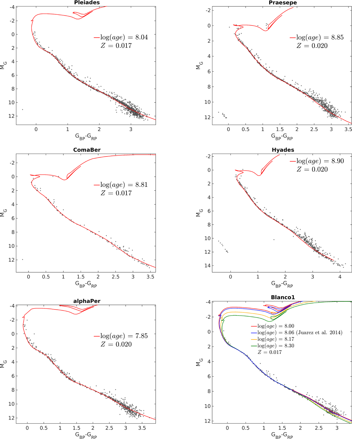
Fig. 17

image

HRDs of nearby clusters compared with PARSEC isochrones (see text for details) of the Pleiades (panel a), Praesepe (panel b), Coma Ber (panel c), Hyades (panel d), Alpha Per (panel e), and Blanco 1 (panel f). Praesepe, Hyades, and Alpha Per are fitted with Z = 0.02, while the others are reproduced using Z = 0.017.

Current usage metrics show cumulative count of Article Views (full-text article views including HTML views, PDF and ePub downloads, according to the available data) and Abstracts Views on Vision4Press platform.

Data correspond to usage on the plateform after 2015. The current usage metrics is available 48-96 hours after online publication and is updated daily on week days.

Initial download of the metrics may take a while.