Gaia Data Release 2
Open Access

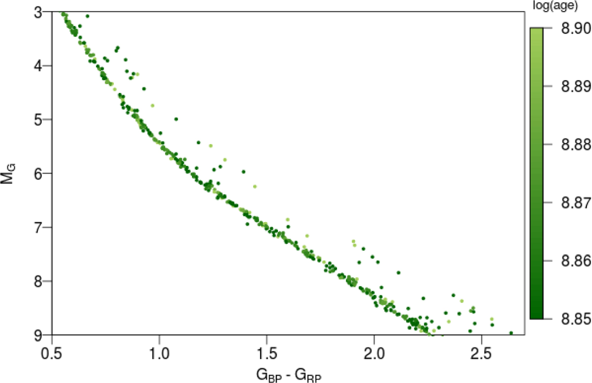
Fig. 7

image

Extract of the HRD for the Hyades and Praesepe clusters, showing the detailed agreement between the main sequences of the two clusters, the narrowness of the combined main sequence, and a scattering of double stars up to 0.75 mag above the main sequence.

Current usage metrics show cumulative count of Article Views (full-text article views including HTML views, PDF and ePub downloads, according to the available data) and Abstracts Views on Vision4Press platform.

Data correspond to usage on the plateform after 2015. The current usage metrics is available 48-96 hours after online publication and is updated daily on week days.

Initial download of the metrics may take a while.