Free Access

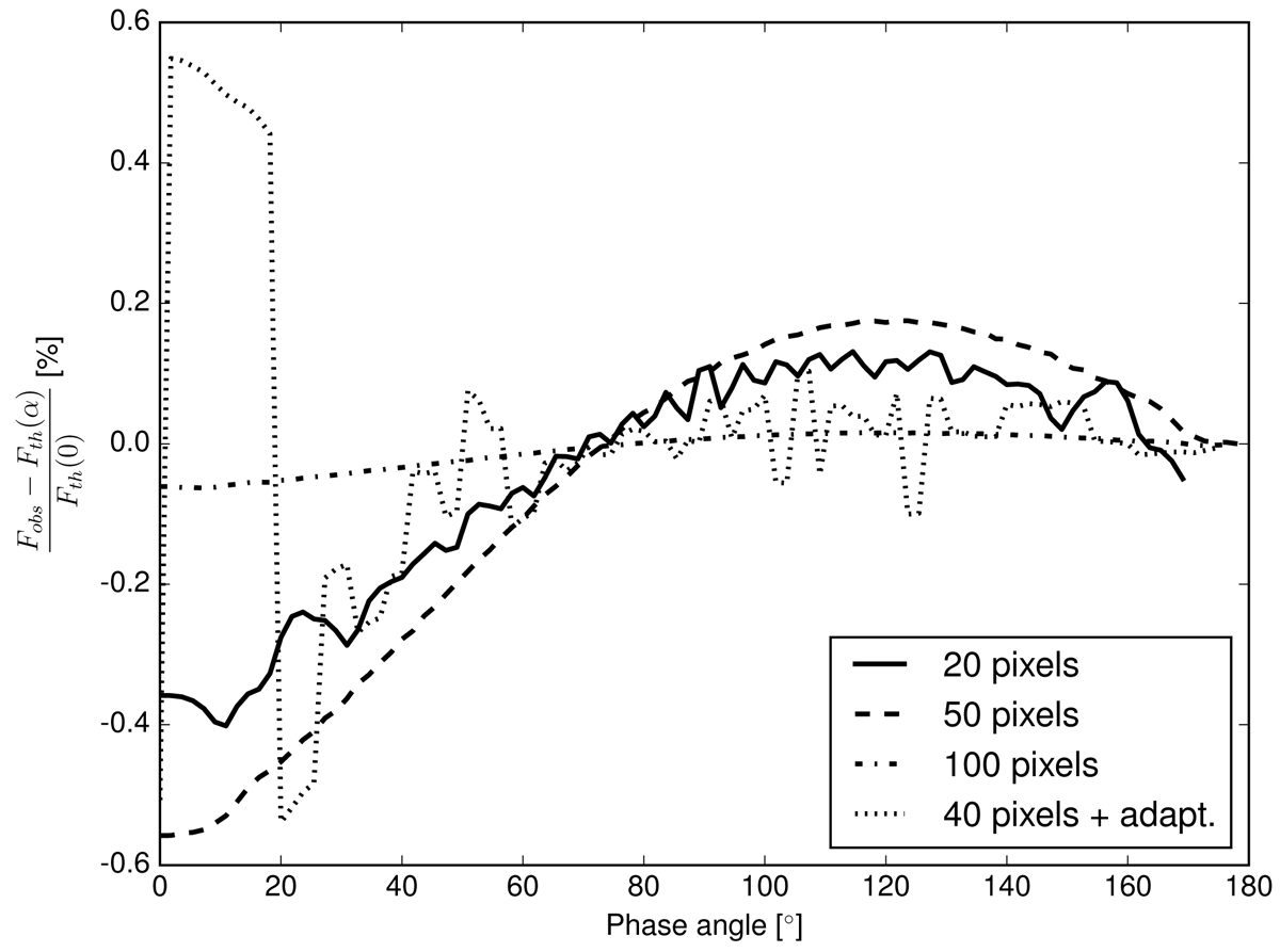
Fig. 4.

image

Difference between the disk-integrated flux F computed using Eq. (14) and computed using the analytical expression for a sphere with a Lambertian reflecting surface and a geometric albedo AG of 1.0 (see Stam et al. 2006, and Eq. (39)) as a function of the planetary phase angle α for various values of Neq, the number of pixels along the planet equator. The difference has been normalized to AG. The dotted line shows that Neq increases with according to Neq(α) = Neq(0°)[1 + sin2(α/2)], with Neq(0°) = 40.

Current usage metrics show cumulative count of Article Views (full-text article views including HTML views, PDF and ePub downloads, according to the available data) and Abstracts Views on Vision4Press platform.

Data correspond to usage on the plateform after 2015. The current usage metrics is available 48-96 hours after online publication and is updated daily on week days.

Initial download of the metrics may take a while.